Frame | Nreads | Zeropoints | Mag plots
| Spatial mag deviation
| Spatial sky 16325A emission deviations (filled: sky, open: star)
| Spatial sky continuum emission
| Spatial sky telluric CO2 absorption deviations (filled: H < 10)
|
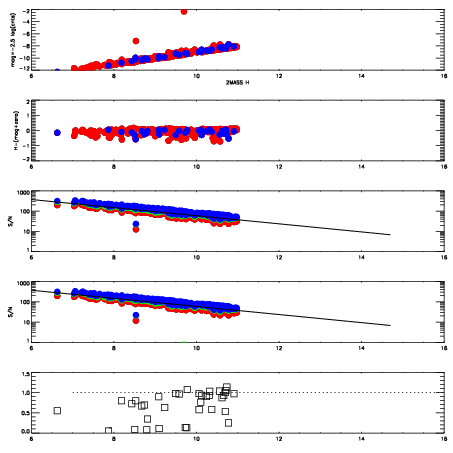
12860023
| 47
| | Red | Green | Blue
| z | | 19.06
| znorm | | 14.88
| sky | 14.3 | 14.0 | 14.2
| S/N | 18.8 | 26.6 | 28.5
| S/N(c) | 30.5 | 33.2 | 19.3
| SN(E/C) | 0.80
|
|
|
|
|
|
|
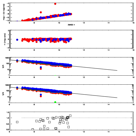
12860024
| 47
| | Red | Green | Blue
| z | | 19.09
| znorm | | 14.91
| sky | 14.2 | 14.1 | 14.3
| S/N | 19.0 | 26.8 | 29.6
| S/N(c) | 30.9 | 33.6 | 19.5
| SN(E/C) | 0.74
|
|
|
|
|
|
|
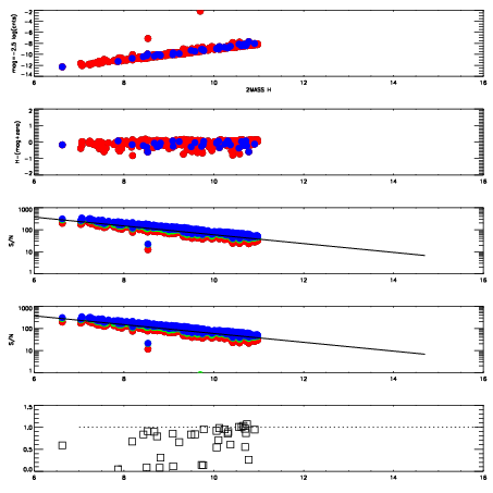
12860025
| 47
| | Red | Green | Blue
| z | | 19.06
| znorm | | 14.88
| sky | 14.3 | 14.2 | 14.2
| S/N | 18.5 | 26.5 | 29.2
| S/N(c) | 30.6 | 33.2 | 19.2
| SN(E/C) | 0.80
|
|
|
|
|
|
|
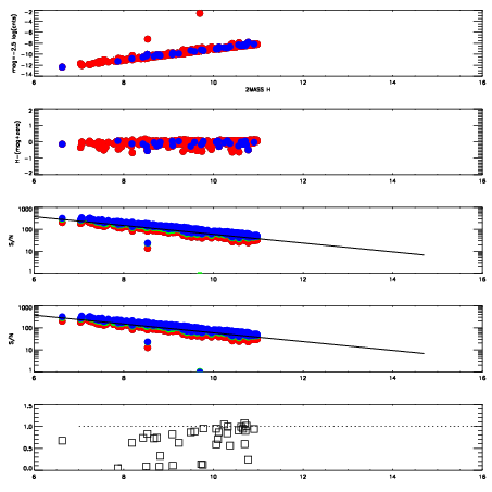
12860026
| 47
| | Red | Green | Blue
| z | | 19.01
| znorm | | 14.83
| sky | 14.4 | 14.1 | 14.4
| S/N | 18.1 | 26.1 | 28.3
| S/N(c) | 29.2 | 32.0 | 18.5
| SN(E/C) | 0.86
|
|
|
|
|
|
|
12860027
| 47
| | Red | Green | Blue
| z | | 19.01
| znorm | | 14.83
| sky | 14.3 | 14.1 | 14.4
| S/N | 18.2 | 26.3 | 28.5
| S/N(c) | 29.2 | 32.0 | 18.6
| SN(E/C) | 0.82
|
|
|
|
|
|
|
12860028
| 47
| | Red | Green | Blue
| z | | 19.04
| znorm | | 14.86
| sky | 14.2 | 14.3 | 14.4
| S/N | 18.6 | 26.6 | 29.1
| S/N(c) | 29.5 | 32.2 | 18.8
| SN(E/C) | 0.87
|
|
|
|
|
|
|
12860029
| 47
| | Red | Green | Blue
| z | | 19.06
| znorm | | 14.88
| sky | 14.3 | 14.2 | 14.4
| S/N | 18.7 | 27.0 | 29.5
| S/N(c) | 29.9 | 32.6 | 19.1
| SN(E/C) | 0.83
|
|
|
|
|
|
|
12860030
| 47
| | Red | Green | Blue
| z | | 19.07
| znorm | | 14.89
| sky | 14.2 | 14.3 | 14.4
| S/N | 18.6 | 26.9 | 29.7
| S/N(c) | 29.7 | 32.5 | 19.1
| SN(E/C) | 0.80
|
|
|
|
|
|
|