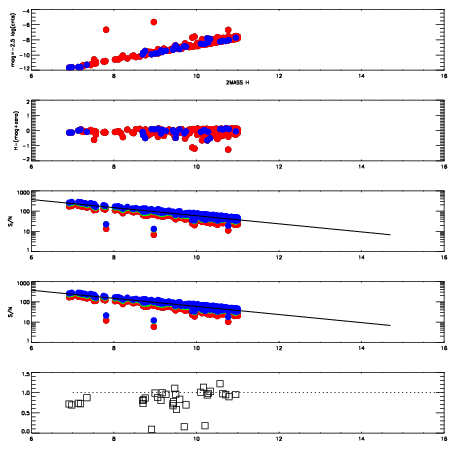
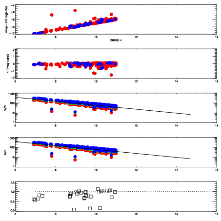
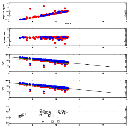
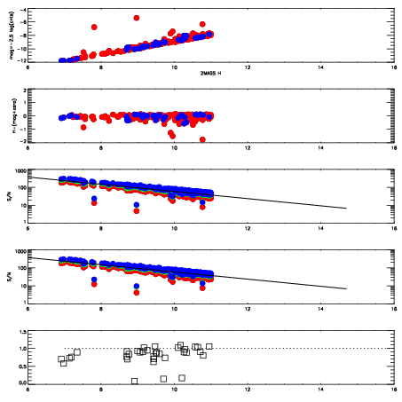
Left plots: red are targets, blue are telluric. Observed mags are calculated from median value of green chip. Zeropoint gives overall throughput: bigger number is more throughput.
First spatial plots: circles are objects, squares are tellurics, crosses are sky fibers. Colors give deviation of observed mag from expected 2MASS mag using the median zeropoint; red is brighter
Second spatial plots: circles are sky fibers. Colors give sky line brightness relative to plate median sky line brightness
FrameNreadsZeropointsMag plots Spatial mag deviation Spatial sky 16325A emission deviations (filled: sky, open: star) Spatial sky continuum emission Spatial sky telluric CO2 absorption deviations (filled: H < 10)
12860005 47
RedGreenBlue
z18.72
znorm14.54
sky 14.1 14.0 14.0
S/N 15.5 23.0 24.8
S/N(c) 7.5 12.4 25.4
SN(E/C) 0.86
12860006 47
RedGreenBlue
z18.94
znorm14.76
sky 14.1 14.2 14.4
S/N 17.2 25.5 27.9
S/N(c) 8.3 13.8 28.3
SN(E/C) 0.85
12860007 47
RedGreenBlue
z18.94
znorm14.76
sky 14.4 14.3 14.4
S/N 17.1 25.7 28.1
S/N(c) 8.3 13.7 28.3
SN(E/C) 0.86
12860008 47
RedGreenBlue
z18.88
znorm14.70
sky 14.1 14.1 14.3
S/N 16.5 24.5 26.8
S/N(c) 7.9 13.2 27.5
SN(E/C) 0.88