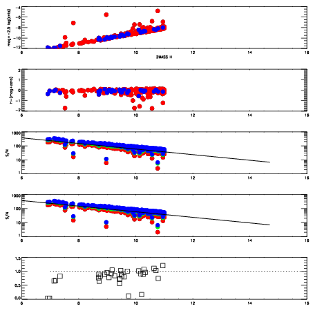
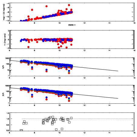
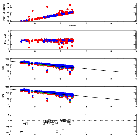
Frame | Nreads | Zeropoints | Mag plots
| Spatial mag deviation
| Spatial sky 16325A emission deviations (filled: sky, open: star)
| Spatial sky continuum emission
| Spatial sky telluric CO2 absorption deviations (filled: H < 10)
|
12880038
| 47
| | Red | Green | Blue
| z | | 18.57
| znorm | | 14.39
| sky | 13.4 | 13.1 | 13.2
| S/N | 13.6 | 20.2 | 22.3
| S/N(c) | 14.0 | 14.9 | 9.1
| SN(E/C) | 0.94
|
|
|
|
|
|
|
12880039
| 47
| | Red | Green | Blue
| z | | 19.12
| znorm | | 14.94
| sky | 14.3 | 14.0 | 14.1
| S/N | 18.9 | 27.8 | 30.7
| S/N(c) | 19.5 | 20.2 | 12.4
| SN(E/C) | 0.85
|
|
|
|
|
|
|
12880040
| 47
| | Red | Green | Blue
| z | | 19.10
| znorm | | 14.92
| sky | 14.5 | 14.0 | 14.1
| S/N | 18.6 | 27.7 | 30.4
| S/N(c) | 19.3 | 20.0 | 12.4
| SN(E/C) | 0.86
|
|
|
|
|
|
|
12880041
| 47
| | Red | Green | Blue
| z | | 19.12
| znorm | | 14.94
| sky | 14.4 | 14.2 | 14.3
| S/N | 19.0 | 28.0 | 31.1
| S/N(c) | 19.6 | 20.3 | 12.6
| SN(E/C) | 0.85
|
|
|
|
|
|
|
12880042
| 47
| | Red | Green | Blue
| z | | 19.10
| znorm | | 14.92
| sky | 14.3 | 14.2 | 14.2
| S/N | 18.6 | 27.7 | 30.7
| S/N(c) | 19.3 | 20.1 | 12.4
| SN(E/C) | 0.84
|
|
|
|
|
|
|
12880043
| 47
| | Red | Green | Blue
| z | | 19.05
| znorm | | 14.87
| sky | 14.3 | 14.2 | 14.3
| S/N | 18.2 | 27.2 | 30.2
| S/N(c) | 18.8 | 19.7 | 12.2
| SN(E/C) | 0.90
|
|
|
|
|
|
|
12880044
| 47
| | Red | Green | Blue
| z | | 18.99
| znorm | | 14.81
| sky | 14.3 | 14.2 | 14.1
| S/N | 17.6 | 26.3 | 29.1
| S/N(c) | 18.1 | 19.2 | 11.8
| SN(E/C) | 0.86
|
|
|
|
|
|
|
12880045
| 47
| | Red | Green | Blue
| z | | 19.06
| znorm | | 14.88
| sky | 14.4 | 14.2 | 14.2
| S/N | 18.1 | 27.0 | 29.9
| S/N(c) | 18.8 | 19.8 | 12.2
| SN(E/C) | 0.88
|
|
|
|
|
|
|