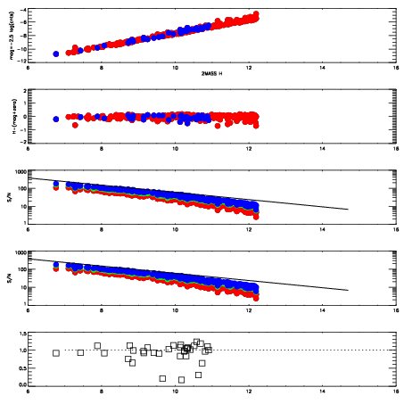
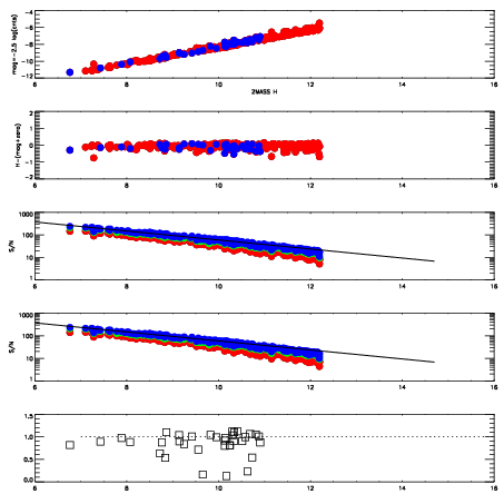
Left plots: red are targets, blue are telluric. Observed mags are calculated from median value of green chip. Zeropoint gives overall throughput: bigger number is more throughput.
First spatial plots: circles are objects, squares are tellurics, crosses are sky fibers. Colors give deviation of observed mag from expected 2MASS mag using the median zeropoint; red is brighter
Second spatial plots: circles are sky fibers. Colors give sky line brightness relative to plate median sky line brightness
FrameNreadsZeropointsMag plots Spatial mag deviation Spatial sky 16325A emission deviations (filled: sky, open: star) Spatial sky continuum emission Spatial sky telluric CO2 absorption deviations (filled: H < 10)
15320046 47
RedGreenBlue
z18.37
znorm14.19
sky 14.4 14.3 14.5
S/N 9.7 17.0 18.6
S/N(c) 24.0 18.4 10.0
SN(E/C) 0.90
15320047 47
RedGreenBlue
z17.70
znorm13.52
sky 14.5 14.2 14.4
S/N 5.6 10.8 12.0
S/N(c) 15.8 12.9 6.9
SN(E/C) 0.98