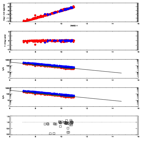
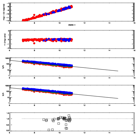
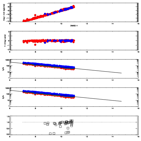
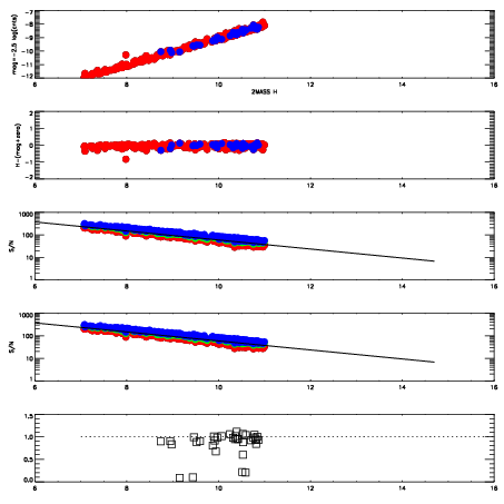
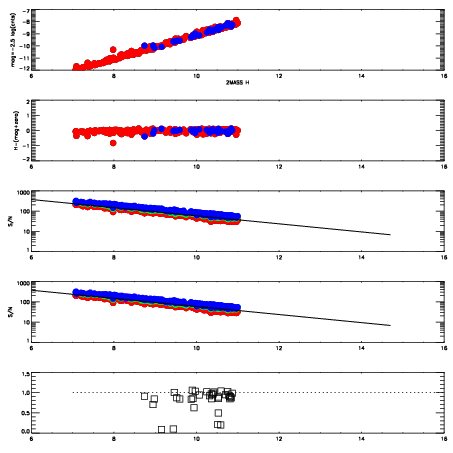
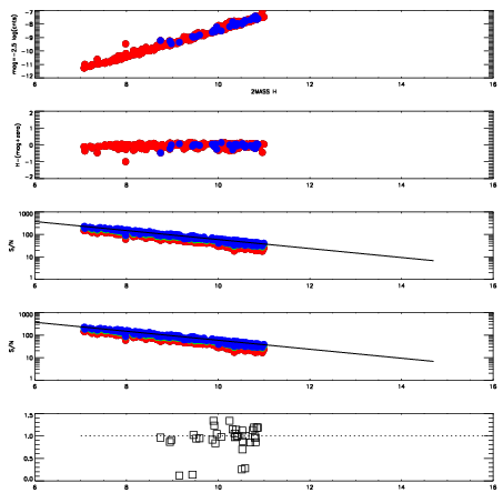
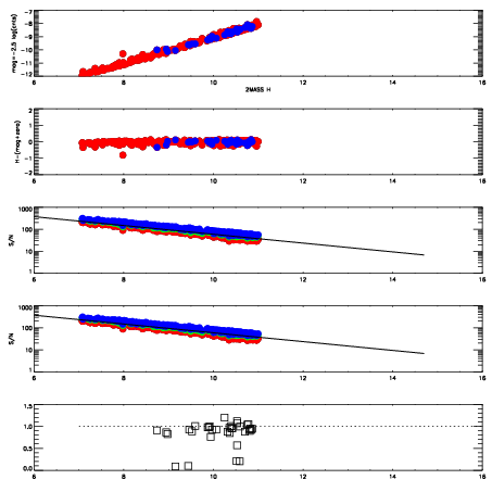
Frame | Nreads | Zeropoints | Mag plots
| Spatial mag deviation
| Spatial sky 16325A emission deviations (filled: sky, open: star)
| Spatial sky continuum emission
| Spatial sky telluric CO2 absorption deviations (filled: H < 10)
|
12860012
| 47
| | Red | Green | Blue
| z | | 18.44
| znorm | | 14.26
| sky | 13.8 | 13.8 | 14.0
| S/N | 13.1 | 19.4 | 21.2
| S/N(c) | 17.7 | 25.1 | 13.8
| SN(E/C) | 0.98
|
|
|
|
|
|
|
12860013
| 47
| | Red | Green | Blue
| z | | 18.67
| znorm | | 14.49
| sky | 14.0 | 13.9 | 14.1
| S/N | 14.9 | 22.2 | 24.4
| S/N(c) | 19.8 | 28.3 | 15.5
| SN(E/C) | 0.99
|
|
|
|
|
|
|
12860014
| 47
| | Red | Green | Blue
| z | | 19.07
| znorm | | 14.89
| sky | 14.1 | 14.1 | 14.2
| S/N | 19.1 | 27.7 | 30.1
| S/N(c) | 24.4 | 34.6 | 18.8
| SN(E/C) | 0.92
|
|
|
|
|
|
|
12860015
| 47
| | Red | Green | Blue
| z | | 19.11
| znorm | | 14.93
| sky | 14.2 | 14.1 | 14.2
| S/N | 19.4 | 28.3 | 30.9
| S/N(c) | 24.8 | 35.1 | 19.0
| SN(E/C) | 0.91
|
|
|
|
|
|
|
12860016
| 47
| | Red | Green | Blue
| z | | 19.11
| znorm | | 14.93
| sky | 14.2 | 14.0 | 14.3
| S/N | 19.5 | 28.6 | 30.9
| S/N(c) | 24.9 | 35.0 | 19.2
| SN(E/C) | 0.90
|
|
|
|
|
|
|
12860017
| 47
| | Red | Green | Blue
| z | | 19.09
| znorm | | 14.91
| sky | 13.9 | 14.1 | 14.3
| S/N | 19.2 | 28.0 | 30.5
| S/N(c) | 24.5 | 34.4 | 18.8
| SN(E/C) | 0.93
|
|
|
|
|
|
|
12860018
| 47
| | Red | Green | Blue
| z | | 19.09
| znorm | | 14.91
| sky | 14.1 | 14.0 | 14.2
| S/N | 19.1 | 28.0 | 30.7
| S/N(c) | 24.5 | 34.3 | 18.8
| SN(E/C) | 0.93
|
|
|
|
|
|
|
12860019
| 47
| | Red | Green | Blue
| z | | 19.10
| znorm | | 14.92
| sky | 14.1 | 14.1 | 14.2
| S/N | 19.1 | 28.4 | 30.5
| S/N(c) | 24.3 | 34.3 | 19.0
| SN(E/C) | 0.95
|
|
|
|
|
|
|