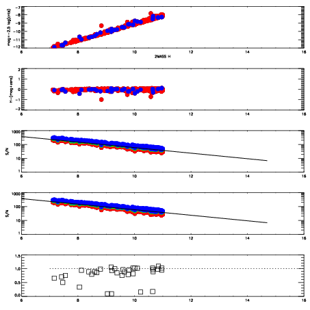
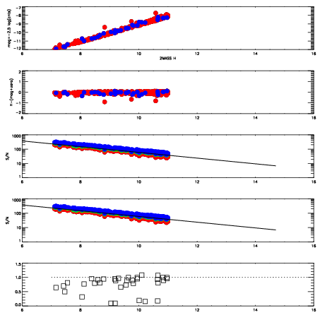
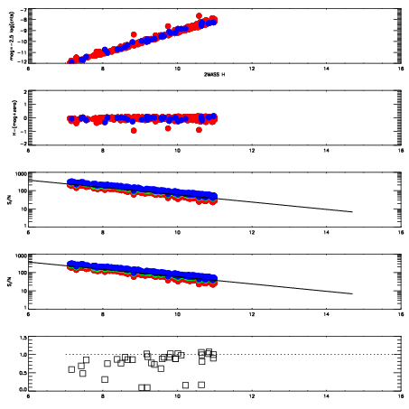
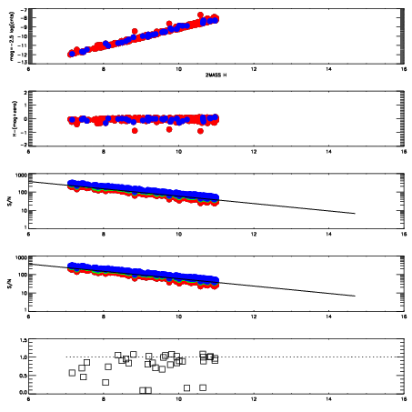
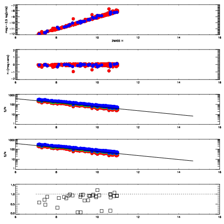
Frame | Nreads | Zeropoints | Mag plots
| Spatial mag deviation
| Spatial sky 16325A emission deviations (filled: sky, open: star)
| Spatial sky continuum emission
| Spatial sky telluric CO2 absorption deviations (filled: H < 10)
|
12880027
| 47
| | Red | Green | Blue
| z | | 19.10
| znorm | | 14.92
| sky | 14.0 | 13.9 | 13.9
| S/N | 18.6 | 26.7 | 29.8
| S/N(c) | 27.0 | 16.5 | 12.9
| SN(E/C) | 0.89
|
|
|
|
|
|
|
12880028
| 47
| | Red | Green | Blue
| z | | 19.13
| znorm | | 14.95
| sky | 14.2 | 14.0 | 14.1
| S/N | 18.9 | 27.5 | 30.6
| S/N(c) | 27.2 | 16.7 | 13.3
| SN(E/C) | 0.89
|
|
|
|
|
|
|
12880029
| 47
| | Red | Green | Blue
| z | | 19.11
| znorm | | 14.93
| sky | 14.0 | 13.9 | 14.1
| S/N | 18.6 | 27.3 | 30.4
| S/N(c) | 27.0 | 16.5 | 13.3
| SN(E/C) | 0.86
|
|
|
|
|
|
|
12880030
| 47
| | Red | Green | Blue
| z | | 19.13
| znorm | | 14.95
| sky | 14.1 | 13.9 | 14.0
| S/N | 18.7 | 27.4 | 31.0
| S/N(c) | 27.5 | 16.7 | 13.7
| SN(E/C) | 0.86
|
|
|
|
|
|
|
12880031
| 47
| | Red | Green | Blue
| z | | 19.13
| znorm | | 14.95
| sky | 14.1 | 14.0 | 14.0
| S/N | 18.8 | 27.4 | 30.7
| S/N(c) | 27.3 | 16.6 | 13.6
| SN(E/C) | 0.88
|
|
|
|
|
|
|
12880032
| 47
| | Red | Green | Blue
| z | | 19.12
| znorm | | 14.94
| sky | 14.2 | 14.1 | 14.1
| S/N | 18.9 | 27.6 | 30.9
| S/N(c) | 27.5 | 16.6 | 13.6
| SN(E/C) | 0.90
|
|
|
|
|
|
|
12880033
| 47
| | Red | Green | Blue
| z | | 19.15
| znorm | | 14.97
| sky | 14.3 | 14.0 | 14.0
| S/N | 19.5 | 27.9 | 31.3
| S/N(c) | 27.8 | 16.8 | 13.8
| SN(E/C) | 0.88
|
|
|
|
|
|
|
12880034
| 47
| | Red | Green | Blue
| z | | 19.12
| znorm | | 14.94
| sky | 14.1 | 14.0 | 14.1
| S/N | 19.2 | 27.6 | 30.9
| S/N(c) | 27.4 | 16.7 | 13.7
| SN(E/C) | 0.86
|
|
|
|
|
|
|