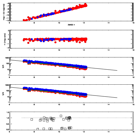
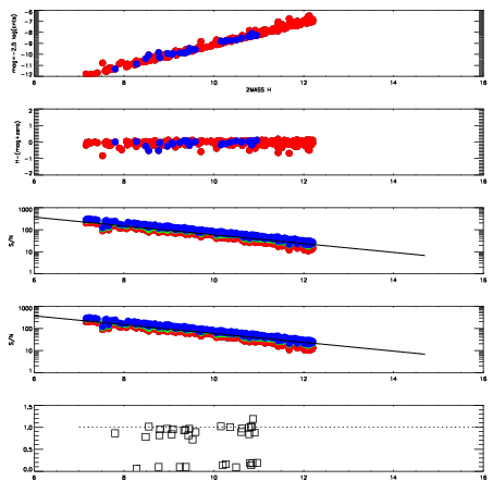
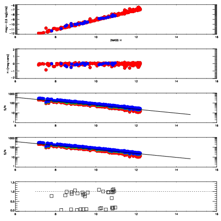
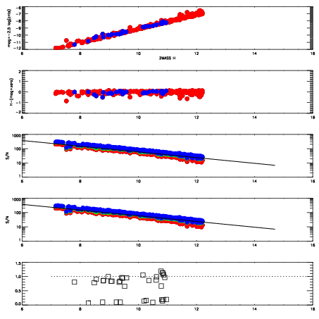
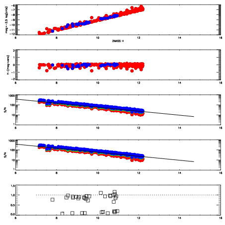
Frame | Nreads | Zeropoints | Mag plots
| Spatial mag deviation
| Spatial sky 16325A emission deviations (filled: sky, open: star)
| Spatial sky continuum emission
| Spatial sky telluric CO2 absorption deviations (filled: H < 10)
|
12880049
| 47
| | Red | Green | Blue
| z | | 19.12
| znorm | | 14.94
| sky | 14.3 | 14.0 | 13.9
| S/N | 15.1 | 24.4 | 26.3
| S/N(c) | 32.5 | 22.8 | 15.5
| SN(E/C) | 0.86
|
|
|
|
|
|
|
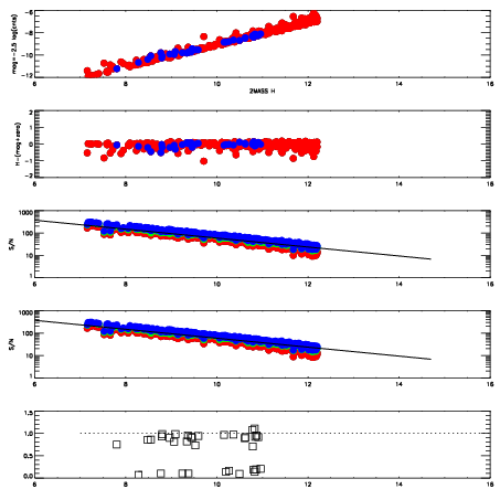
12880050
| 47
| | Red | Green | Blue
| z | | 19.11
| znorm | | 14.93
| sky | 14.1 | 13.9 | 14.0
| S/N | 15.1 | 24.4 | 26.5
| S/N(c) | 32.6 | 22.8 | 15.5
| SN(E/C) | 0.83
|
|
|
|
|
|
|
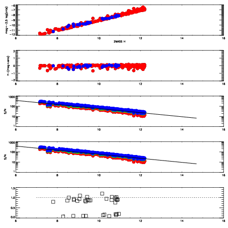
12880051
| 47
| | Red | Green | Blue
| z | | 19.12
| znorm | | 14.94
| sky | 14.1 | 13.9 | 14.0
| S/N | 15.0 | 24.5 | 26.5
| S/N(c) | 32.9 | 22.8 | 15.7
| SN(E/C) | 0.84
|
|
|
|
|
|
|
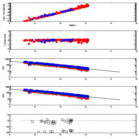
12880052
| 47
| | Red | Green | Blue
| z | | 19.13
| znorm | | 14.95
| sky | 14.2 | 14.0 | 14.0
| S/N | 15.0 | 24.7 | 26.6
| S/N(c) | 32.6 | 22.6 | 15.6
| SN(E/C) | 0.86
|
|
|
|
|
|
|
12880053
| 47
| | Red | Green | Blue
| z | | 19.07
| znorm | | 14.89
| sky | 14.1 | 14.0 | 14.0
| S/N | 14.2 | 24.0 | 25.6
| S/N(c) | 31.7 | 22.4 | 15.4
| SN(E/C) | 0.87
|
|
|
|
|
|
|
12880054
| 47
| | Red | Green | Blue
| z | | 19.06
| znorm | | 14.88
| sky | 14.2 | 14.1 | 14.1
| S/N | 14.1 | 23.6 | 25.3
| S/N(c) | 31.8 | 22.0 | 15.3
| SN(E/C) | 0.86
|
|
|
|
|
|
|
12880055
| 47
| | Red | Green | Blue
| z | | 19.08
| znorm | | 14.90
| sky | 14.3 | 14.1 | 14.1
| S/N | 14.4 | 23.8 | 25.7
| S/N(c) | 31.5 | 22.1 | 15.2
| SN(E/C) | 0.85
|
|
|
|
|
|
|
12880056
| 47
| | Red | Green | Blue
| z | | 19.07
| znorm | | 14.89
| sky | 14.3 | 14.2 | 14.1
| S/N | 14.2 | 23.4 | 25.1
| S/N(c) | 30.6 | 21.4 | 14.8
| SN(E/C) | 0.86
|
|
|
|
|
|
|