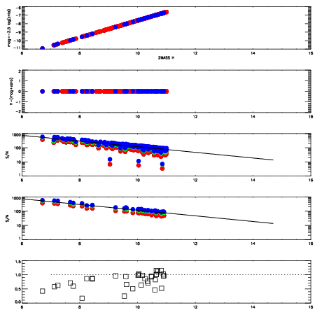
Left plots: red are targets, blue are telluric. Observed mags are calculated from median value of green chip. Zeropoint gives overall throughput: bigger number is more throughput.
First spatial plots: circles are objects, squares are tellurics, crosses are sky fibers. Colors give deviation of observed mag from expected 2MASS mag using the median zeropoint; red is brighter
Second spatial plots: circles are sky fibers. Colors give sky line brightness relative to plate median sky line brightness
FrameNreadsZeropointsMag plots Spatial mag deviation Spatial sky 16325A emission deviations (filled: sky, open: star) Spatial sky continuum emission Spatial sky telluric CO2 absorption deviations (filled: H < 10)
0 0
RedGreenBlue
z17.64
znorm Inf
sky -Inf -NaN -Inf
S/N 27.2 42.3 48.5
S/N(c) 0.0 0.0 0.0
SN(E/C) 0.86

IPAIRNAMESHIFTNEWSHIFTS/N NAMESHIFTNEWSHIFTS/N
0 13760028 0.505858 0.00000 18.2573 13760029 0.000479635 0.505378 17.6312
1 13760023 0.504478 0.00138003 18.8935 13760025 -0.00137481 0.507233 19.0248
2 13760024 0.504898 0.000959992 18.8367 13760026 -0.00140608 0.507264 18.9650
3 13760027 0.505043 0.000814974 18.6152 13760022 0.00000 0.505858 18.8732