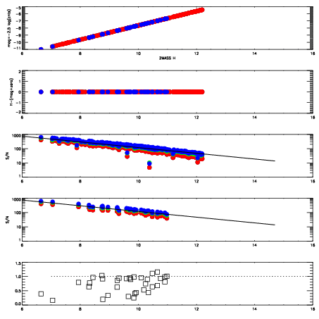
Left plots: red are targets, blue are telluric. Observed mags are calculated from median value of green chip. Zeropoint gives overall throughput: bigger number is more throughput.
First spatial plots: circles are objects, squares are tellurics, crosses are sky fibers. Colors give deviation of observed mag from expected 2MASS mag using the median zeropoint; red is brighter
Second spatial plots: circles are sky fibers. Colors give sky line brightness relative to plate median sky line brightness
FrameNreadsZeropointsMag plots Spatial mag deviation Spatial sky 16325A emission deviations (filled: sky, open: star) Spatial sky continuum emission Spatial sky telluric CO2 absorption deviations (filled: H < 10)
0 0
RedGreenBlue
z17.64
znorm Inf
sky -Inf -Inf -Inf
S/N 21.5 38.2 44.1
S/N(c) 0.0 0.0 0.0
SN(E/C) 0.81

IPAIRNAMESHIFTNEWSHIFTS/N NAMESHIFTNEWSHIFTS/N
0 13750030 0.504736 0.00000 18.3888 13750028 0.000992699 0.503743 18.7116
1 13750025 0.501789 0.00294703 19.0734 13750024 0.00000 0.504736 19.1191
2 13750026 0.503003 0.00173301 18.9584 13750027 0.000764101 0.503972 18.9066
3 13750029 0.503560 0.00117600 18.8151 13750031 0.00169071 0.503045 18.8914