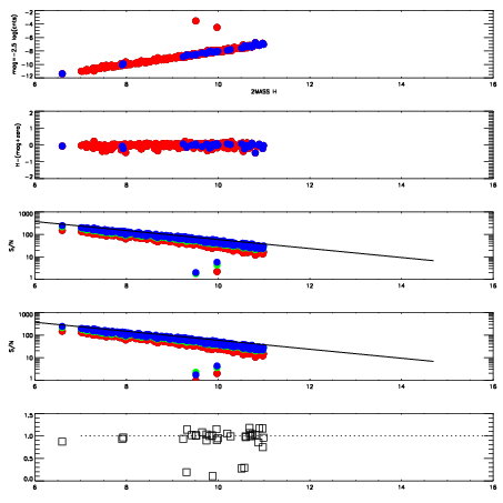
Frame | Nreads | Zeropoints | Mag plots
| Spatial mag deviation
| Spatial sky 16325A emission deviations (filled: sky, open: star)
| Spatial sky continuum emission
| Spatial sky telluric CO2 absorption deviations (filled: H < 10)
|
12870015
| 47
| | Red | Green | Blue
| z | | 18.45
| znorm | | 14.27
| sky | 13.7 | 13.6 | 13.7
| S/N | 11.2 | 17.6 | 17.9
| S/N(c) | 22.1 | 17.6 | 9.7
| SN(E/C) | 0.98
|
|
|
|
|
|
|
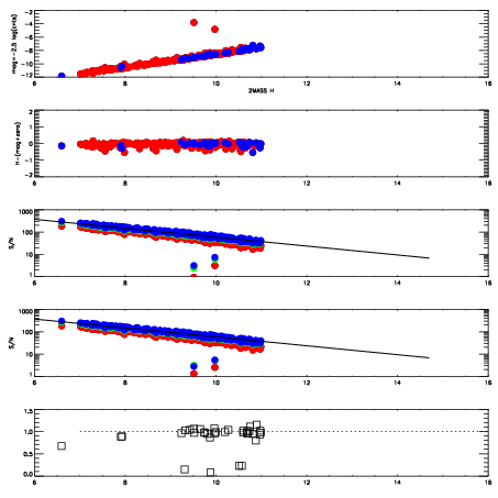
12870016
| 47
| | Red | Green | Blue
| z | | 18.04
| znorm | | 13.86
| sky | 13.6 | 13.5 | 13.8
| S/N | 8.2 | 13.3 | 14.9
| S/N(c) | 17.6 | 14.5 | 8.1
| SN(E/C) | 1.01
|
|
|
|
|
|
|
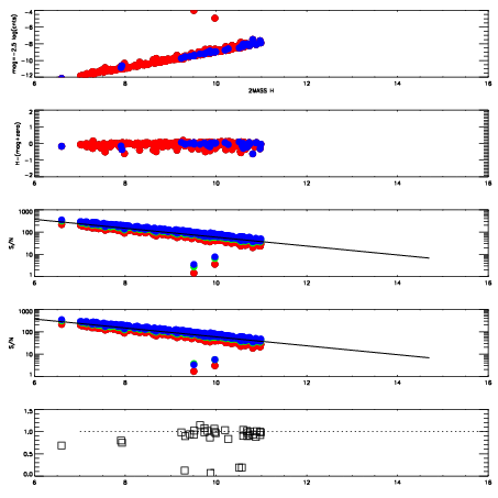
12870017
| 47
| | Red | Green | Blue
| z | | 18.04
| znorm | | 13.86
| sky | 13.5 | 13.5 | 13.8
| S/N | 8.3 | 13.2 | 15.4
| S/N(c) | 17.7 | 14.6 | 8.2
| SN(E/C) | 0.99
|
|
|
|
|
|
|
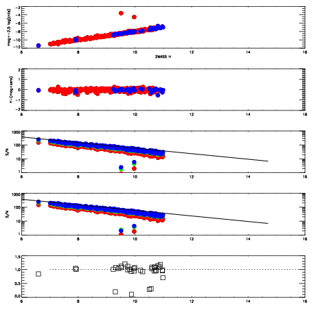
12870018
| 47
| | Red | Green | Blue
| z | | 18.57
| znorm | | 14.39
| sky | 13.8 | 13.7 | 14.0
| S/N | 11.6 | 17.8 | 20.3
| S/N(c) | 23.2 | 18.6 | 10.5
| SN(E/C) | 0.97
|
|
|
|
|
|
|
12870019
| 47
| | Red | Green | Blue
| z | | 18.92
| znorm | | 14.74
| sky | 14.0 | 13.8 | 14.1
| S/N | 14.6 | 21.4 | 23.8
| S/N(c) | 27.8 | 22.0 | 12.4
| SN(E/C) | 0.94
|
|
|
|
|
|
|
12870020
| 47
| | Red | Green | Blue
| z | | 19.01
| znorm | | 14.83
| sky | 14.0 | 13.9 | 14.2
| S/N | 15.7 | 22.8 | 25.1
| S/N(c) | 29.1 | 23.2 | 13.0
| SN(E/C) | 0.91
|
|
|
|
|
|
|
12870021
| 47
| | Red | Green | Blue
| z | | 18.99
| znorm | | 14.81
| sky | 14.0 | 14.0 | 14.3
| S/N | 15.4 | 22.6 | 24.9
| S/N(c) | 29.0 | 23.0 | 13.0
| SN(E/C) | 0.92
|
|
|
|
|
|
|
12870022
| 47
| | Red | Green | Blue
| z | | 18.96
| znorm | | 14.78
| sky | 14.0 | 14.0 | 14.2
| S/N | 15.5 | 22.6 | 25.1
| S/N(c) | 28.6 | 23.0 | 12.9
| SN(E/C) | 0.96
|
|
|
|
|
|
|