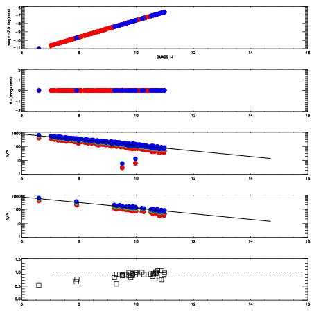
Left plots: red are targets, blue are telluric. Observed mags are calculated from median value of green chip. Zeropoint gives overall throughput: bigger number is more throughput.
First spatial plots: circles are objects, squares are tellurics, crosses are sky fibers. Colors give deviation of observed mag from expected 2MASS mag using the median zeropoint; red is brighter
Second spatial plots: circles are sky fibers. Colors give sky line brightness relative to plate median sky line brightness
FrameNreadsZeropointsMag plots Spatial mag deviation Spatial sky 16325A emission deviations (filled: sky, open: star) Spatial sky continuum emission Spatial sky telluric CO2 absorption deviations (filled: H < 10)
0 0
RedGreenBlue
z17.64
znorm Inf
sky -Inf -Inf -NaN
S/N 23.4 36.1 40.2
S/N(c) 0.0 0.0 0.0
SN(E/C) 0.91

IPAIRNAMESHIFTNEWSHIFTS/N NAMESHIFTNEWSHIFTS/N
0 12870016 0.468711 0.00000 18.0323 12870015 0.00000 0.468711 18.4449
1 12870020 0.458844 0.00986698 19.0078 12870022 -0.00710676 0.475818 18.9624
2 12870021 0.460579 0.00813198 18.9944 12870019 -0.00388083 0.472592 18.9236
3 12870017 0.467996 0.000714988 18.0429 12870018 -0.00413647 0.472847 18.5795