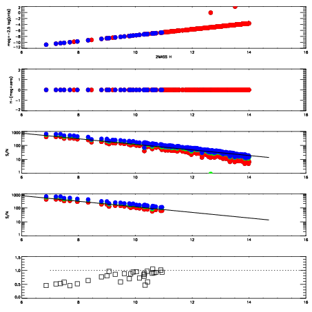
Left plots: red are targets, blue are telluric. Observed mags are calculated from median value of green chip. Zeropoint gives overall throughput: bigger number is more throughput.
First spatial plots: circles are objects, squares are tellurics, crosses are sky fibers. Colors give deviation of observed mag from expected 2MASS mag using the median zeropoint; red is brighter
Second spatial plots: circles are sky fibers. Colors give sky line brightness relative to plate median sky line brightness
FrameNreadsZeropointsMag plots Spatial mag deviation Spatial sky 16325A emission deviations (filled: sky, open: star) Spatial sky continuum emission Spatial sky telluric CO2 absorption deviations (filled: H < 10)
0 0
RedGreenBlue
z17.64
znorm Inf
sky -Inf -Inf -Inf
S/N 31.5 55.2 60.2
S/N(c) 0.0 0.0 0.0
SN(E/C) 0.85

IPAIRNAMESHIFTNEWSHIFTS/N NAMESHIFTNEWSHIFTS/N
0 13690039 0.504651 0.00000 19.2386 13690040 -0.000794505 0.505446 19.2542
1 13690042 0.501226 0.00342500 19.1994 13690041 -0.00139938 0.506050 19.2542
2 13690038 0.504322 0.000329018 19.1933 13690044 -0.00166796 0.506319 19.1576
3 13690043 0.502022 0.00262898 19.1439 13690037 0.00000 0.504651 19.1515