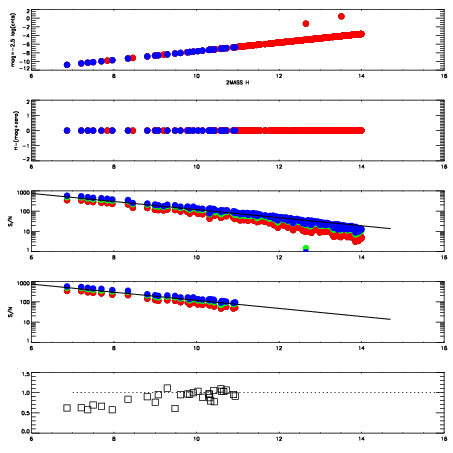
Left plots: red are targets, blue are telluric. Observed mags are calculated from median value of green chip. Zeropoint gives overall throughput: bigger number is more throughput.
First spatial plots: circles are objects, squares are tellurics, crosses are sky fibers. Colors give deviation of observed mag from expected 2MASS mag using the median zeropoint; red is brighter
Second spatial plots: circles are sky fibers. Colors give sky line brightness relative to plate median sky line brightness
FrameNreadsZeropointsMag plots Spatial mag deviation Spatial sky 16325A emission deviations (filled: sky, open: star) Spatial sky continuum emission Spatial sky telluric CO2 absorption deviations (filled: H < 10)
0 0
RedGreenBlue
z17.64
znorm Inf
sky -Inf -Inf -Inf
S/N 22.3 41.1 47.5
S/N(c) 0.0 0.0 0.0
SN(E/C) 0.95

IPAIRNAMESHIFTNEWSHIFTS/N NAMESHIFTNEWSHIFTS/N
0 17020045 0.485827 0.00000 18.6441 17020047 0.000967995 0.484859 18.6524
1 17020049 0.482986 0.00284100 18.9687 17020050 -0.00467866 0.490506 19.0744
2 17020048 0.483284 0.00254300 18.7640 17020046 0.00210563 0.483721 18.7061
3 17020044 0.485696 0.000131011 18.6886 17020043 0.00000 0.485827 18.7046