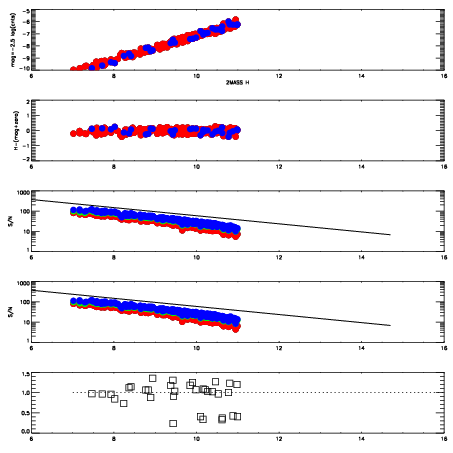
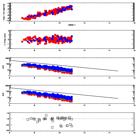
Frame | Nreads | Zeropoints | Mag plots
| Spatial mag deviation
| Spatial sky 16325A emission deviations (filled: sky, open: star)
| Spatial sky continuum emission
| Spatial sky telluric CO2 absorption deviations (filled: H < 10)
|
12870026
| 47
| | Red | Green | Blue
| z | | 17.19
| znorm | | 13.01
| sky | 12.9 | 12.8 | 12.9
| S/N | 5.1 | 8.4 | 9.1
| S/N(c) | 6.4 | 9.3 | 6.8
| SN(E/C) | 1.03
|
|
|
|
|
|
|
12870027
| 47
| | Red | Green | Blue
| z | | 16.42
| znorm | | 12.24
| sky | 12.9 | 12.7 | 12.8
| S/N | 2.3 | 3.9 | 4.4
| S/N(c) | 3.6 | 5.5 | 4.0
| SN(E/C) | 0.99
|
|
|
|
|
|
|
12870028
| 47
| | Red | Green | Blue
| z | | 13.08
| znorm | | 8.90
| sky | 12.6 | 12.5 | 12.6
| S/N | -0.0 | -0.1 | -0.2
| S/N(c) | 0.0 | 0.0 | 0.0
| SN(E/C) | 6.64
|
|
|
|
|
|
|
12870029
| 47
| | Red | Green | Blue
| z | | 12.55
| znorm | | 8.37
| sky | 13.0 | 12.9 | 13.0
| S/N | 0.0 | 0.2 | 0.1
| S/N(c) | 0.0 | 0.0 | 0.0
| SN(E/C) | 8.96
|
|
|
|
|
|
|
12870030
| 47
| | Red | Green | Blue
| z | | 12.08
| znorm | | 7.90
| sky | 13.1 | 13.0 | 13.2
| S/N | 0.1 | 0.2 | 0.2
| S/N(c) | 0.0 | 0.0 | 0.0
| SN(E/C) | 11.60
|
|
|
|
|
|
|
12870031
| 47
| | Red | Green | Blue
| z | | 12.30
| znorm | | 8.12
| sky | 12.9 | 12.9 | 13.0
| S/N | 0.1 | 0.0 | -0.2
| S/N(c) | 0.0 | 0.0 | 0.0
| SN(E/C) | 13.02
|
|
|
|
|
|
|
12870032
| 47
| | Red | Green | Blue
| z | | 12.20
| znorm | | 8.02
| sky | 12.8 | 12.8 | 12.9
| S/N | 0.0 | 0.1 | 0.0
| S/N(c) | 0.0 | 0.0 | 0.0
| SN(E/C) | 7.89
|
|
|
|
|
|
|
12870033
| 47
| | Red | Green | Blue
| z | | 11.52
| znorm | | 7.34
| sky | 13.2 | 13.2 | 13.3
| S/N | 0.1 | 0.1 | 0.1
| S/N(c) | 0.0 | 0.0 | 0.0
| SN(E/C) | 11.67
|
|
|
|
|
|
|