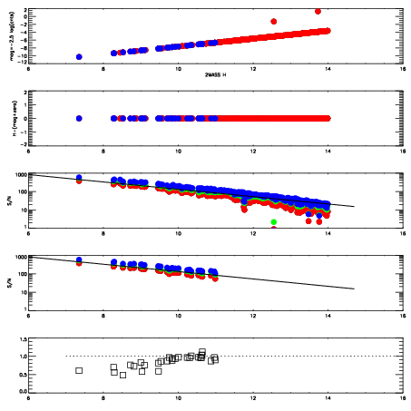
Left plots: red are targets, blue are telluric. Observed mags are calculated from median value of green chip. Zeropoint gives overall throughput: bigger number is more throughput.
First spatial plots: circles are objects, squares are tellurics, crosses are sky fibers. Colors give deviation of observed mag from expected 2MASS mag using the median zeropoint; red is brighter
Second spatial plots: circles are sky fibers. Colors give sky line brightness relative to plate median sky line brightness
FrameNreadsZeropointsMag plots Spatial mag deviation Spatial sky 16325A emission deviations (filled: sky, open: star) Spatial sky continuum emission Spatial sky telluric CO2 absorption deviations (filled: H < 10)
0 0
RedGreenBlue
z17.64
znorm Inf
sky -Inf -Inf -NaN
S/N 31.2 53.8 66.8
S/N(c) 0.0 0.0 0.0
SN(E/C) 0.89

IPAIRNAMESHIFTNEWSHIFTS/N NAMESHIFTNEWSHIFTS/N
0 17320035 0.513421 0.00000 19.1667 17320040 0.000431803 0.512989 19.1338
1 17320038 0.511923 0.00149798 19.2304 17320037 0.00218575 0.511235 19.2475
2 17320039 0.511379 0.00204200 19.2019 17320033 0.00000 0.513421 19.2422
3 17320034 0.512786 0.000635028 19.1894 17320036 0.00281069 0.510610 19.1841
4 17320042 0.509872 0.00354898 19.0787 17320041 -0.000148569 0.513570 19.0822