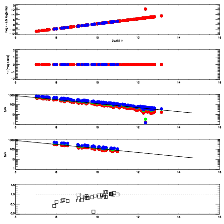
Left plots: red are targets, blue are telluric. Observed mags are calculated from median value of green chip. Zeropoint gives overall throughput: bigger number is more throughput.
First spatial plots: circles are objects, squares are tellurics, crosses are sky fibers. Colors give deviation of observed mag from expected 2MASS mag using the median zeropoint; red is brighter
Second spatial plots: circles are sky fibers. Colors give sky line brightness relative to plate median sky line brightness
FrameNreadsZeropointsMag plots Spatial mag deviation Spatial sky 16325A emission deviations (filled: sky, open: star) Spatial sky continuum emission Spatial sky telluric CO2 absorption deviations (filled: H < 10)
0 0
RedGreenBlue
z17.64
znorm Inf
sky -Inf -Inf -NaN
S/N 32.4 55.6 61.7
S/N(c) 0.0 0.0 0.0
SN(E/C) 0.87

IPAIRNAMESHIFTNEWSHIFTS/N NAMESHIFTNEWSHIFTS/N
0 13480055 0.500559 0.00000 19.2542 13480054 0.00000 0.500559 19.2319
1 13480056 0.499887 0.000671983 19.2621 13480057 -0.000972206 0.501531 19.2598
2 13480059 0.496043 0.00451598 19.2200 13480058 -0.00116165 0.501721 19.2165
3 13480060 0.495997 0.00456196 19.2188 13480061 -0.00257613 0.503135 19.1998