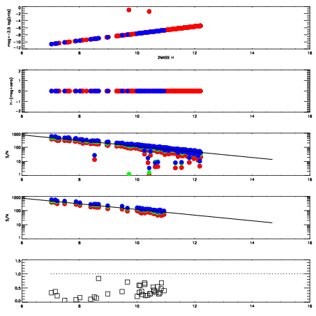
Left plots: red are targets, blue are telluric. Observed mags are calculated from median value of green chip. Zeropoint gives overall throughput: bigger number is more throughput.
First spatial plots: circles are objects, squares are tellurics, crosses are sky fibers. Colors give deviation of observed mag from expected 2MASS mag using the median zeropoint; red is brighter
Second spatial plots: circles are sky fibers. Colors give sky line brightness relative to plate median sky line brightness
FrameNreadsZeropointsMag plots Spatial mag deviation Spatial sky 16325A emission deviations (filled: sky, open: star) Spatial sky continuum emission Spatial sky telluric CO2 absorption deviations (filled: H < 10)
0 0
RedGreenBlue
z17.64
znorm Inf
sky -NaN -Inf -NaN
S/N 23.5 40.0 45.1
S/N(c) 0.0 0.0 0.0
SN(E/C) 0.33

IPAIRNAMESHIFTNEWSHIFTS/N NAMESHIFTNEWSHIFTS/N
0 14670016 0.501387 0.00000 18.7669 14670015 0.000299761 0.501087 18.7380
1 14670012 0.497878 0.00350901 18.9165 14670011 0.00000 0.501387 18.9401
2 14670013 0.498824 0.00256300 18.8361 14670014 4.56610e-05 0.501341 18.8628
3 14670017 0.501374 1.29938e-05 18.8070 14670018 0.000588500 0.500799 18.7835