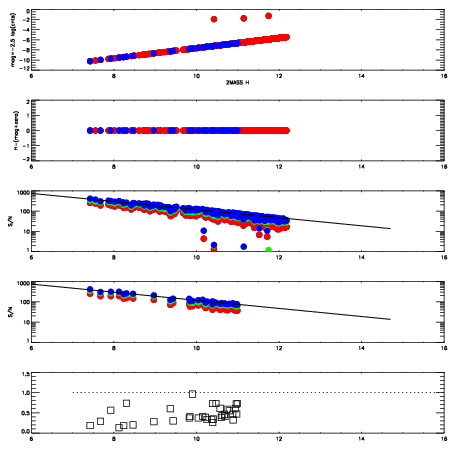
Left plots: red are targets, blue are telluric. Observed mags are calculated from median value of green chip. Zeropoint gives overall throughput: bigger number is more throughput.
First spatial plots: circles are objects, squares are tellurics, crosses are sky fibers. Colors give deviation of observed mag from expected 2MASS mag using the median zeropoint; red is brighter
Second spatial plots: circles are sky fibers. Colors give sky line brightness relative to plate median sky line brightness
FrameNreadsZeropointsMag plots Spatial mag deviation Spatial sky 16325A emission deviations (filled: sky, open: star) Spatial sky continuum emission Spatial sky telluric CO2 absorption deviations (filled: H < 10)
0 0
RedGreenBlue
z17.64
znorm Inf
sky -Inf -Inf -NaN
S/N 17.8 32.6 37.8
S/N(c) 0.0 0.0 0.0
SN(E/C) 0.41

IPAIRNAMESHIFTNEWSHIFTS/N NAMESHIFTNEWSHIFTS/N
0 17000035 0.488699 0.00000 15.8462 17000036 0.00221688 0.486482 16.9367
1 17000039 0.487337 0.00136200 19.0051 17000040 0.00250074 0.486198 19.1400
2 17000038 0.487762 0.000936985 18.5315 17000037 0.000833156 0.487866 18.7952
3 17000034 0.488050 0.000648975 17.6030 17000033 0.00000 0.488699 18.1536