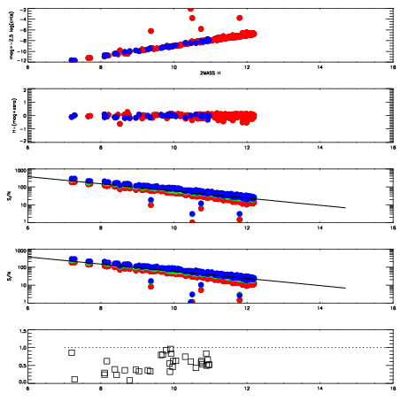
Frame | Nreads | Zeropoints | Mag plots
| Spatial mag deviation
| Spatial sky 16325A emission deviations (filled: sky, open: star)
| Spatial sky continuum emission
| Spatial sky telluric CO2 absorption deviations (filled: H < 10)
|
14970014
| 47
| | Red | Green | Blue
| z | | 18.97
| znorm | | 14.79
| sky | 14.3 | 14.0 | 13.8
| S/N | 14.7 | 23.9 | 26.0
| S/N(c) | 15.3 | 13.7 | 18.7
| SN(E/C) | 0.54
|
|
|
|
|
|
|
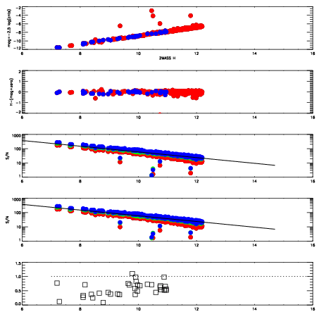
14970015
| 47
| | Red | Green | Blue
| z | | 18.99
| znorm | | 14.81
| sky | 14.4 | 14.4 | 14.2
| S/N | 14.5 | 24.1 | 26.2
| S/N(c) | 15.1 | 13.9 | 18.9
| SN(E/C) | 0.58
|
|
|
|
|
|
|
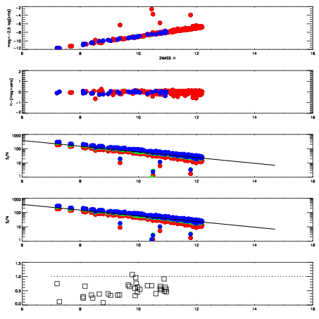
14970016
| 47
| | Red | Green | Blue
| z | | 18.96
| znorm | | 14.78
| sky | 14.6 | 14.4 | 14.3
| S/N | 14.3 | 23.5 | 25.5
| S/N(c) | 14.9 | 13.8 | 18.7
| SN(E/C) | 0.57
|
|
|
|
|
|
|
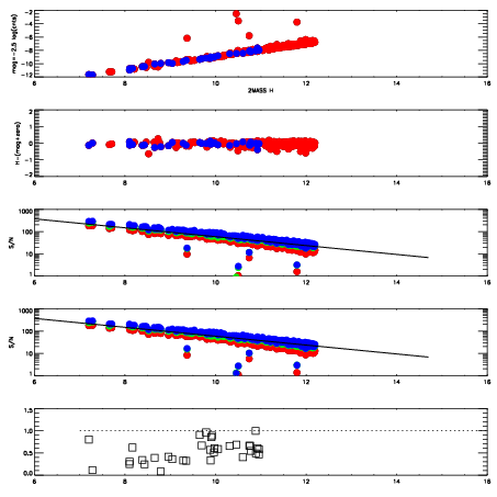
14970017
| 47
| | Red | Green | Blue
| z | | 18.97
| znorm | | 14.79
| sky | 14.7 | 14.5 | 14.4
| S/N | 14.4 | 23.6 | 26.0
| S/N(c) | 15.1 | 13.9 | 18.7
| SN(E/C) | 0.55
|
|
|
|
|
|
|
14970018
| 47
| | Red | Green | Blue
| z | | 18.95
| znorm | | 14.77
| sky | 14.8 | 14.6 | 14.4
| S/N | 14.1 | 23.6 | 25.7
| S/N(c) | 14.9 | 13.8 | 18.7
| SN(E/C) | 0.53
|
|
|
|
|
|
|
14970019
| 47
| | Red | Green | Blue
| z | | 18.83
| znorm | | 14.65
| sky | 14.6 | 14.6 | 14.5
| S/N | 12.9 | 22.1 | 23.9
| S/N(c) | 13.8 | 13.0 | 17.4
| SN(E/C) | 0.55
|
|
|
|
|
|
|
14970020
| 47
| | Red | Green | Blue
| z | | 18.70
| znorm | | 14.52
| sky | 14.9 | 14.7 | 14.5
| S/N | 11.8 | 20.7 | 21.9
| S/N(c) | 12.5 | 12.0 | 16.2
| SN(E/C) | 0.57
|
|
|
|
|
|
|
14970021
| 47
| | Red | Green | Blue
| z | | 18.66
| znorm | | 14.48
| sky | 14.8 | 14.7 | 14.6
| S/N | 11.6 | 20.1 | 21.5
| S/N(c) | 12.5 | 11.9 | 16.0
| SN(E/C) | 0.61
|
|
|
|
|
|
|