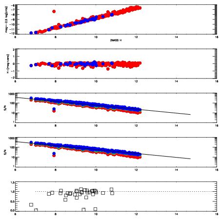
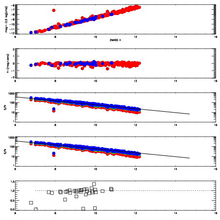
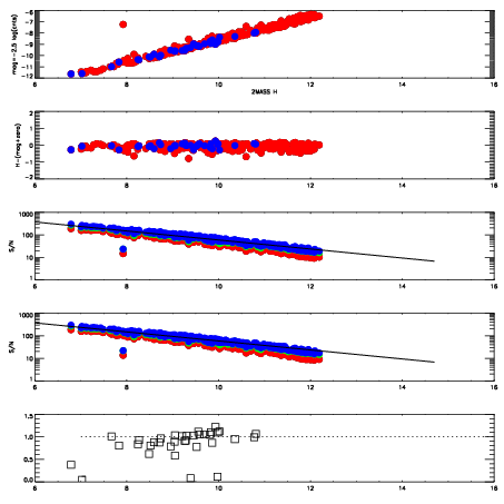
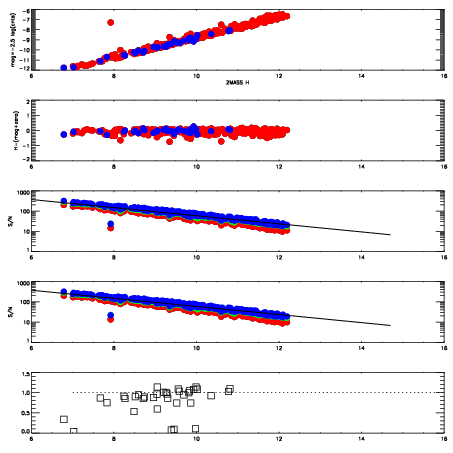
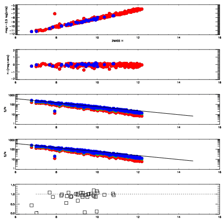
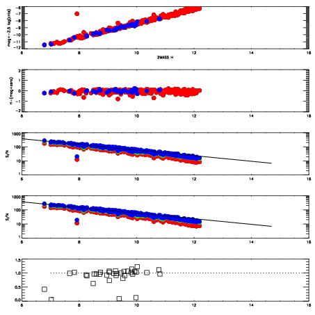
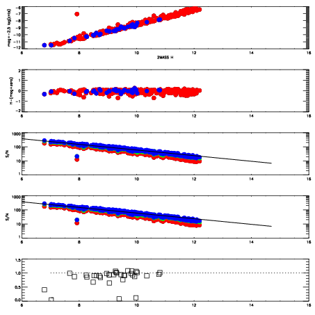
Frame | Nreads | Zeropoints | Mag plots
| Spatial mag deviation
| Spatial sky 16325A emission deviations (filled: sky, open: star)
| Spatial sky continuum emission
| Spatial sky telluric CO2 absorption deviations (filled: H < 10)
|
14310023
| 47
| | Red | Green | Blue
| z | | 18.79
| znorm | | 14.61
| sky | 14.3 | 14.2 | 14.2
| S/N | 12.2 | 20.7 | 21.8
| S/N(c) | 15.1 | 12.6 | 6.5
| SN(E/C) | 0.93
|
|
|
|
|
|
|
14310024
| 47
| | Red | Green | Blue
| z | | 18.73
| znorm | | 14.55
| sky | 14.4 | 14.2 | 14.1
| S/N | 11.6 | 19.5 | 20.8
| S/N(c) | 14.5 | 12.3 | 6.2
| SN(E/C) | 0.96
|
|
|
|
|
|
|
14310025
| 47
| | Red | Green | Blue
| z | | 18.82
| znorm | | 14.64
| sky | 14.3 | 14.2 | 14.1
| S/N | 12.2 | 20.5 | 21.8
| S/N(c) | 15.3 | 12.9 | 6.6
| SN(E/C) | 0.91
|
|
|
|
|
|
|
14310026
| 47
| | Red | Green | Blue
| z | | 18.46
| znorm | | 14.27
| sky | 14.2 | 14.1 | 14.1
| S/N | 9.5 | 16.5 | 17.1
| S/N(c) | 12.5 | 10.8 | 5.5
| SN(E/C) | 0.97
|
|
|
|
|
|
|
14310027
| 47
| | Red | Green | Blue
| z | | 18.59
| znorm | | 14.41
| sky | 14.3 | 14.1 | 14.1
| S/N | 9.8 | 17.3 | 18.4
| S/N(c) | 13.4 | 11.5 | 5.8
| SN(E/C) | 0.92
|
|
|
|
|
|
|
14310028
| 47
| | Red | Green | Blue
| z | | 18.68
| znorm | | 14.50
| sky | 14.2 | 14.2 | 14.2
| S/N | 10.7 | 18.2 | 19.5
| S/N(c) | 14.2 | 12.1 | 6.1
| SN(E/C) | 0.93
|
|
|
|
|
|
|
14310029
| 47
| | Red | Green | Blue
| z | | 18.20
| znorm | | 14.02
| sky | 14.1 | 14.1 | 14.1
| S/N | 7.7 | 13.9 | 14.4
| S/N(c) | 10.7 | 9.4 | 4.7
| SN(E/C) | 0.97
|
|
|
|
|
|
|
14310030
| 47
| | Red | Green | Blue
| z | | 18.27
| znorm | | 14.09
| sky | 14.0 | 14.0 | 14.0
| S/N | 7.5 | 14.0 | 14.3
| S/N(c) | 11.2 | 9.8 | 5.0
| SN(E/C) | 0.95
|
|
|
|
|
|
|