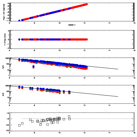
Left plots: red are targets, blue are telluric. Observed mags are calculated from median value of green chip. Zeropoint gives overall throughput: bigger number is more throughput.
First spatial plots: circles are objects, squares are tellurics, crosses are sky fibers. Colors give deviation of observed mag from expected 2MASS mag using the median zeropoint; red is brighter
Second spatial plots: circles are sky fibers. Colors give sky line brightness relative to plate median sky line brightness
FrameNreadsZeropointsMag plots Spatial mag deviation Spatial sky 16325A emission deviations (filled: sky, open: star) Spatial sky continuum emission Spatial sky telluric CO2 absorption deviations (filled: H < 10)
0 0
RedGreenBlue
z17.64
znorm Inf
sky -Inf -Inf -Inf
S/N 17.8 32.4 35.0
S/N(c) 0.0 0.0 0.0
SN(E/C) 0.91

IPAIRNAMESHIFTNEWSHIFTS/N NAMESHIFTNEWSHIFTS/N
0 14310029 0.501028 0.00000 18.1836 14310030 0.00356779 0.497460 18.2588
1 14310025 0.497509 0.00351900 18.8003 14310023 0.00000 0.501028 18.7676
2 14310024 0.496665 0.00436300 18.7085 14310027 0.00126149 0.499766 18.5651
3 14310028 0.499155 0.00187299 18.6618 14310026 0.00120802 0.499820 18.4419