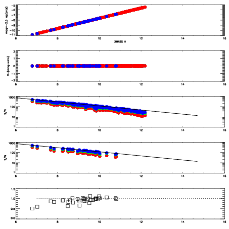
Left plots: red are targets, blue are telluric. Observed mags are calculated from median value of green chip. Zeropoint gives overall throughput: bigger number is more throughput.
First spatial plots: circles are objects, squares are tellurics, crosses are sky fibers. Colors give deviation of observed mag from expected 2MASS mag using the median zeropoint; red is brighter
Second spatial plots: circles are sky fibers. Colors give sky line brightness relative to plate median sky line brightness
FrameNreadsZeropointsMag plots Spatial mag deviation Spatial sky 16325A emission deviations (filled: sky, open: star) Spatial sky continuum emission Spatial sky telluric CO2 absorption deviations (filled: H < 10)
0 0
RedGreenBlue
z17.64
znorm Inf
sky -Inf -Inf -NaN
S/N 14.7 26.1 28.7
S/N(c) 0.0 0.0 0.0
SN(E/C) 0.93

IPAIRNAMESHIFTNEWSHIFTS/N NAMESHIFTNEWSHIFTS/N
0 17070053 0.490260 0.00000 15.0566 17070054 0.000376297 0.489884 18.2586
1 17070048 0.483334 0.00692600 18.9991 17070050 -0.000964766 0.491225 18.8537
2 17070049 0.486723 0.00353700 18.3163 17070047 0.00000 0.490260 18.4676
3 17070052 0.490005 0.000255018 14.1955 17070051 -0.000113950 0.490374 18.0013