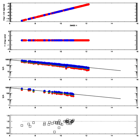
Left plots: red are targets, blue are telluric. Observed mags are calculated from median value of green chip. Zeropoint gives overall throughput: bigger number is more throughput.
First spatial plots: circles are objects, squares are tellurics, crosses are sky fibers. Colors give deviation of observed mag from expected 2MASS mag using the median zeropoint; red is brighter
Second spatial plots: circles are sky fibers. Colors give sky line brightness relative to plate median sky line brightness
FrameNreadsZeropointsMag plots Spatial mag deviation Spatial sky 16325A emission deviations (filled: sky, open: star) Spatial sky continuum emission Spatial sky telluric CO2 absorption deviations (filled: H < 10)
0 0
RedGreenBlue
z17.64
znorm Inf
sky -NaN -Inf -NaN
S/N 19.7 36.1 40.4
S/N(c) 0.0 0.0 0.0
SN(E/C) 0.89

IPAIRNAMESHIFTNEWSHIFTS/N NAMESHIFTNEWSHIFTS/N
0 14100032 0.497554 0.00000 18.7812 14100033 1.57708e-06 0.497552 18.7734
1 14100031 0.497194 0.000360012 18.6836 14100026 0.00000 0.497554 18.7166
2 14100028 0.497518 3.60012e-05 18.5591 14100030 0.000129350 0.497425 18.6317
3 14100027 0.497140 0.000414014 18.5589 14100029 -0.000165849 0.497720 18.5629