PLATE:7777 MJD: 56945 FIELD: 120-12

FrameCartsec zseeingNreadsDitherPixshiftZerosky continuumS/NS/N(cframe)
13830010 8 1.05 2.23 47 0.00 -0.00 18.46 [15.03,14.77,15.07] [ 10.6, 19.2, 20.2] [ 20.6, 18.3, 16.5]
13830011 8 1.05 2.82 47 0.50 0.00 18.42 [15.09,15.27,15.17] [ 10.0, 18.4, 19.3] [ 19.6, 17.7, 16.1]
13830012 8 1.05 3.04 47 0.50 0.00 17.99 [15.10,15.17,15.29] [ 7.4, 14.4, 15.0] [ 14.9, 14.4, 12.8]
13830013 8 1.05 2.81 47 -0.00 -0.00 18.39 [14.97,15.11,15.10] [ 9.8, 18.1, 18.9] [ 19.2, 17.7, 15.8]
13830014 8 1.05 2.54 47 -0.00 -0.00 18.48 [15.11,15.22,15.22] [ 10.5, 18.6, 19.9] [ 20.3, 18.3, 16.6]
13830015 8 1.06 2.40 47 0.50 -0.00 18.79 [15.12,15.10,15.00] [ 12.9, 22.4, 24.0] [ 24.6, 21.3, 19.5]
13830016 8 1.06 1.85 47 0.50 0.00 18.91 [14.81,14.97,15.03] [ 13.9, 23.8, 25.2] [ 26.3, 22.6, 20.8]
13830017 8 1.06 1.75 47 -0.00 -0.00 19.09 [15.12,15.03,14.96] [ 15.6, 26.0, 28.3] [ 29.1, 24.6, 22.7]

IPAIRNAMESHIFTNEWSHIFTS/N NAMESHIFTNEWSHIFTS/N
0 13830012 0.502 0.000 17.99 13830013 -0.001 0.503 18.38
1 13830016 0.498 0.004 18.89 13830017 -0.002 0.504 19.08
2 13830015 0.498 0.003 18.78 13830014 -0.002 0.504 18.47
3 13830011 0.501 0.001 18.40 13830010 0.000 0.502 18.44

Visit (multiple exposure and dither combined) spectra

FrameZeropointsMag plots Spatial mag deviation Spatial sky telluric CH4 Spatial sky telluric CO2 Spatial sky telluric H2O Spatial sky 16325A emission deviations (filled: sky, open: star) Spatial sky continuum emission
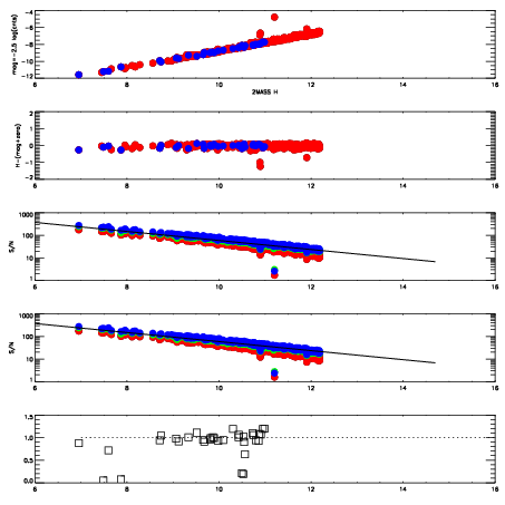
13830010
RedGreenBlue
z18.46
znorm14.27
sky 15.0 14.8 15.1
S/N 10.6 19.2 20.2
S/N(c) 20.6 18.3 16.5
SN(E/C) 0.96
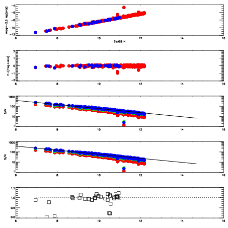
13830011
RedGreenBlue
z18.42
znorm14.24
sky 15.1 15.3 15.2
S/N 10.0 18.4 19.3
S/N(c) 19.6 17.7 16.1
SN(E/C) 0.99
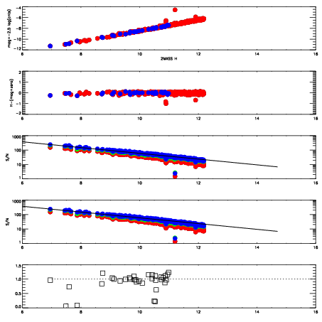
13830012
RedGreenBlue
z17.99
znorm13.81
sky 15.1 15.2 15.3
S/N 7.4 14.4 15.0
S/N(c) 14.9 14.4 12.8
SN(E/C) 1.04
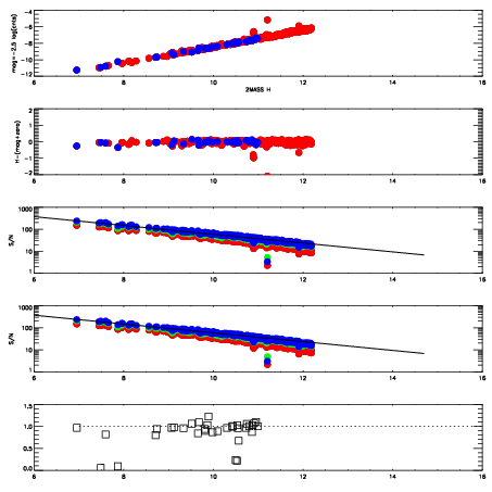
13830013
RedGreenBlue
z18.39
znorm14.21
sky 15.0 15.1 15.1
S/N 9.8 18.1 18.9
S/N(c) 19.2 17.7 15.8
SN(E/C) 0.98
13830014
RedGreenBlue
z18.48
znorm14.30
sky 15.1 15.2 15.2
S/N 10.5 18.6 19.9
S/N(c) 20.3 18.3 16.6
SN(E/C) 0.98
13830015
RedGreenBlue
z18.79
znorm14.61
sky 15.1 15.1 15.0
S/N 12.9 22.4 24.0
S/N(c) 24.6 21.3 19.5
SN(E/C) 0.97
13830016
RedGreenBlue
z18.91
znorm14.73
sky 14.8 15.0 15.0
S/N 13.9 23.8 25.2
S/N(c) 26.3 22.6 20.8
SN(E/C) 0.98
13830017
RedGreenBlue
z19.09
znorm14.91
sky 15.1 15.0 15.0
S/N 15.6 26.0 28.3
S/N(c) 29.1 24.6 22.7
SN(E/C) 0.97