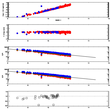
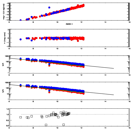
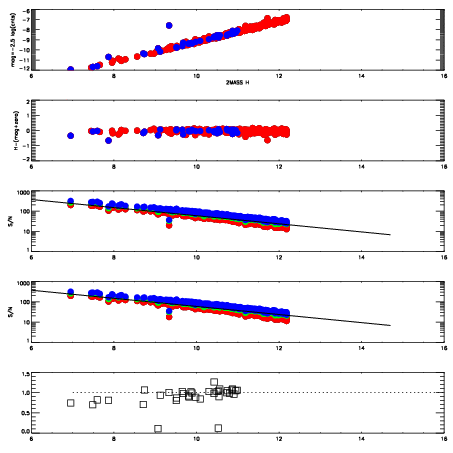
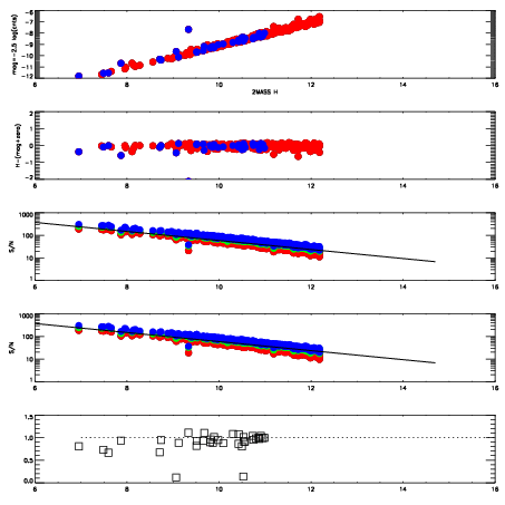
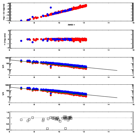
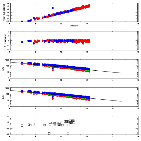
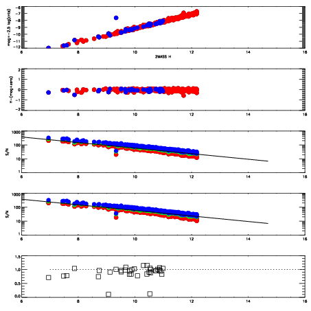
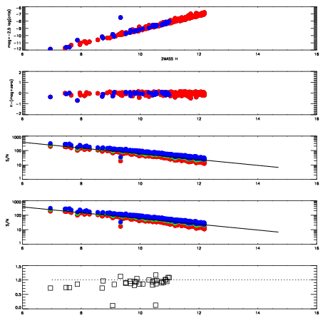
Frame | Nreads | Zeropoints | Mag plots
| Spatial mag deviation
| Spatial sky 16325A emission deviations (filled: sky, open: star)
| Spatial sky continuum emission
| Spatial sky telluric CO2 absorption deviations (filled: H < 10)
|
14290037
| 47
| | Red | Green | Blue
| z | | 19.13
| znorm | | 14.95
| sky | 14.8 | 14.5 | 14.8
| S/N | 16.0 | 25.6 | 29.1
| S/N(c) | 16.4 | 12.7 | 24.9
| SN(E/C) | 0.93
|
|
|
|
|
|
|
14290038
| 47
| | Red | Green | Blue
| z | | 19.20
| znorm | | 15.02
| sky | 14.8 | 14.6 | 14.8
| S/N | 16.6 | 26.5 | 30.1
| S/N(c) | 17.0 | 13.4 | 25.6
| SN(E/C) | 0.95
|
|
|
|
|
|
|
14290039
| 47
| | Red | Green | Blue
| z | | 19.21
| znorm | | 15.03
| sky | 14.7 | 14.7 | 14.7
| S/N | 16.9 | 27.0 | 30.1
| S/N(c) | 17.0 | 13.3 | 25.8
| SN(E/C) | 0.98
|
|
|
|
|
|
|
14290040
| 47
| | Red | Green | Blue
| z | | 19.23
| znorm | | 15.05
| sky | 14.8 | 14.7 | 14.9
| S/N | 17.0 | 27.2 | 30.2
| S/N(c) | 17.2 | 13.4 | 26.1
| SN(E/C) | 0.95
|
|
|
|
|
|
|
14290041
| 47
| | Red | Green | Blue
| z | | 19.22
| znorm | | 15.04
| sky | 14.9 | 14.8 | 14.9
| S/N | 17.0 | 27.2 | 30.0
| S/N(c) | 17.1 | 13.5 | 26.0
| SN(E/C) | 0.98
|
|
|
|
|
|
|
14290042
| 47
| | Red | Green | Blue
| z | | 19.21
| znorm | | 15.03
| sky | 14.8 | 14.7 | 14.8
| S/N | 16.8 | 26.9 | 30.2
| S/N(c) | 17.0 | 13.4 | 25.7
| SN(E/C) | 0.94
|
|
|
|
|
|
|
14290043
| 47
| | Red | Green | Blue
| z | | 19.17
| znorm | | 14.99
| sky | 14.7 | 14.7 | 14.8
| S/N | 16.5 | 26.6 | 29.4
| S/N(c) | 16.6 | 13.2 | 25.2
| SN(E/C) | 0.95
|
|
|
|
|
|
|
14290044
| 47
| | Red | Green | Blue
| z | | 19.18
| znorm | | 15.00
| sky | 14.9 | 14.7 | 14.9
| S/N | 16.3 | 26.7 | 29.9
| S/N(c) | 16.6 | 13.1 | 25.4
| SN(E/C) | 0.91
|
|
|
|
|
|
|