PLATE:7777 MJD: 57000 FIELD: 120-12

FrameCartsec zseeingNreadsDitherPixshiftZerosky continuumS/NS/N(cframe)
14380028 7 1.10 2.07 47 0.00 -0.00 17.47 [13.96,13.83,13.92] [ 4.3, 8.4, 9.1] [ 7.3, 10.0, 8.8]
14380029 7 1.11 1.67 47 0.50 0.00 17.78 [14.00,13.98,14.02] [ 5.4, 10.6, 11.4] [ 9.2, 12.1, 10.7]
14380030 7 1.12 1.75 47 0.50 0.00 17.63 [14.02,13.90,13.97] [ 4.9, 9.4, 10.3] [ 8.1, 11.1, 9.7]
14380031 7 1.13 1.42 47 0.00 0.00 17.62 [14.01,13.98,13.96] [ 4.8, 9.5, 9.9] [ 8.0, 10.9, 9.6]

IPAIRNAMESHIFTNEWSHIFTS/N NAMESHIFTNEWSHIFTS/N
0 14380030 0.497 0.000 17.62 14380028 0.000 0.497 17.46
1 14380029 0.496 0.001 17.76 14380031 0.000 0.497 17.60

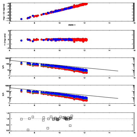
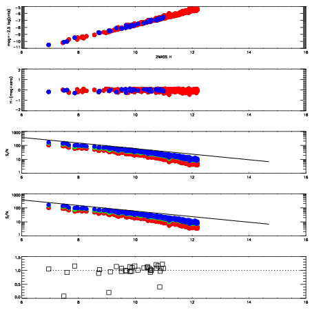
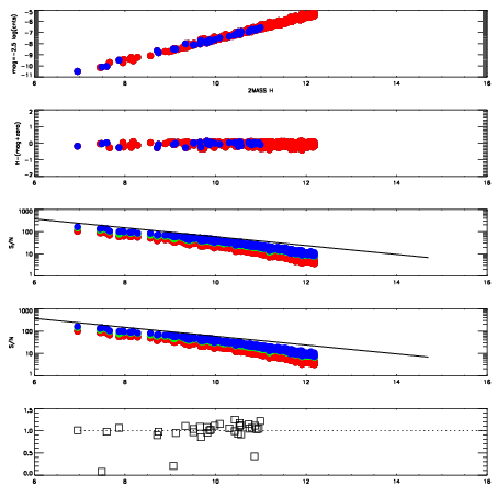
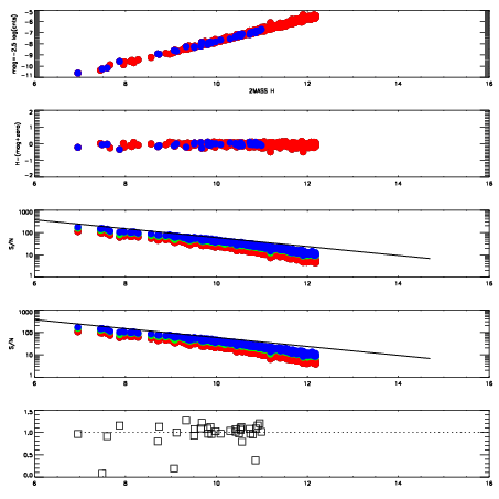
Visit (multiple exposure and dither combined) spectra

FrameZeropointsMag plots Spatial mag deviation Spatial sky telluric CH4 Spatial sky telluric CO2 Spatial sky telluric H2O Spatial sky 16325A emission deviations (filled: sky, open: star) Spatial sky continuum emission
14380028
RedGreenBlue
z17.47
znorm13.29
sky 14.0 13.8 13.9
S/N 4.3 8.4 9.1
S/N(c) 7.3 10.0 8.8
SN(E/C) 1.00
14380029
RedGreenBlue
z17.78
znorm13.60
sky 14.0 14.0 14.0
S/N 5.4 10.6 11.4
S/N(c) 9.2 12.1 10.7
SN(E/C) 1.03
14380030
RedGreenBlue
z17.63
znorm13.45
sky 14.0 13.9 14.0
S/N 4.9 9.4 10.3
S/N(c) 8.1 11.1 9.7
SN(E/C) 1.02
14380031
RedGreenBlue
z17.62
znorm13.44
sky 14.0 14.0 14.0
S/N 4.8 9.5 9.9
S/N(c) 8.0 10.9 9.6
SN(E/C) 1.04