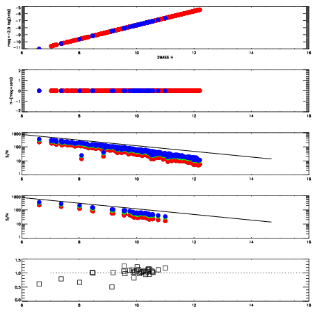
Left plots: red are targets, blue are telluric. Observed mags are calculated from median value of green chip. Zeropoint gives overall throughput: bigger number is more throughput.
First spatial plots: circles are objects, squares are tellurics, crosses are sky fibers. Colors give deviation of observed mag from expected 2MASS mag using the median zeropoint; red is brighter
Second spatial plots: circles are sky fibers. Colors give sky line brightness relative to plate median sky line brightness
FrameNreadsZeropointsMag plots Spatial mag deviation Spatial sky 16325A emission deviations (filled: sky, open: star) Spatial sky continuum emission Spatial sky telluric CO2 absorption deviations (filled: H < 10)
0 0
RedGreenBlue
z17.64
znorm Inf
sky -Inf -Inf -NaN
S/N 6.2 11.4 12.9
S/N(c) 0.0 0.0 0.0
SN(E/C) 1.04

IPAIRNAMESHIFTNEWSHIFTS/N NAMESHIFTNEWSHIFTS/N
0 13750070 0.505155 0.00000 16.9908 13750072 -0.00175449 0.506909 16.7599
1 13750074 0.503113 0.00204206 17.6182 13750075 -0.00308408 0.508239 18.0650
2 13750073 0.503043 0.00211203 17.3009 13750068 0.00000 0.505155 17.5765
3 13750069 0.504946 0.000209033 17.1132 13750071 -0.00150805 0.506663 17.3074