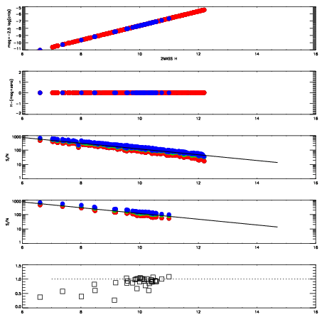
Left plots: red are targets, blue are telluric. Observed mags are calculated from median value of green chip. Zeropoint gives overall throughput: bigger number is more throughput.
First spatial plots: circles are objects, squares are tellurics, crosses are sky fibers. Colors give deviation of observed mag from expected 2MASS mag using the median zeropoint; red is brighter
Second spatial plots: circles are sky fibers. Colors give sky line brightness relative to plate median sky line brightness
FrameNreadsZeropointsMag plots Spatial mag deviation Spatial sky 16325A emission deviations (filled: sky, open: star) Spatial sky continuum emission Spatial sky telluric CO2 absorption deviations (filled: H < 10)
0 0
RedGreenBlue
z17.64
znorm Inf
sky -Inf -Inf -NaN
S/N 26.5 44.8 50.7
S/N(c) 0.0 0.0 0.0
SN(E/C) 0.92

IPAIRNAMESHIFTNEWSHIFTS/N NAMESHIFTNEWSHIFTS/N
0 14090031 0.496559 0.00000 19.0188 14090029 -0.000302189 0.496861 19.1337
1 14090028 0.494528 0.00203100 19.0038 14090030 -0.000852532 0.497412 19.0802
2 14090032 0.496444 0.000115007 18.8553 14090033 -0.00183334 0.498392 19.0636
3 14090027 0.494709 0.00184998 18.8510 14090026 0.00000 0.496559 18.7306