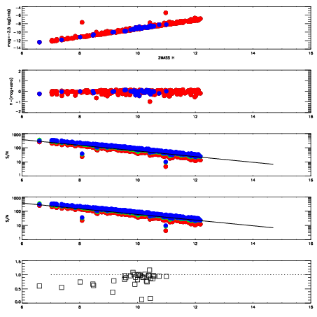
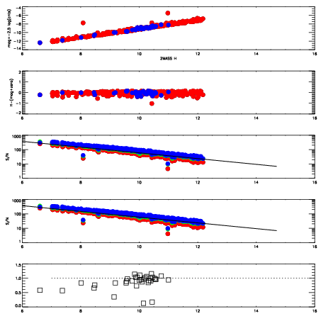
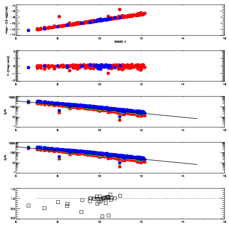
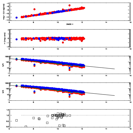
Left plots: red are targets, blue are telluric. Observed mags are calculated from median value of green chip. Zeropoint gives overall throughput: bigger number is more throughput.
First spatial plots: circles are objects, squares are tellurics, crosses are sky fibers. Colors give deviation of observed mag from expected 2MASS mag using the median zeropoint; red is brighter
Second spatial plots: circles are sky fibers. Colors give sky line brightness relative to plate median sky line brightness
FrameNreadsZeropointsMag plots Spatial mag deviation Spatial sky 16325A emission deviations (filled: sky, open: star) Spatial sky continuum emission Spatial sky telluric CO2 absorption deviations (filled: H < 10)
14290048 47
RedGreenBlue
z19.16
znorm14.98
sky 14.5 14.2 14.3
S/N 15.5 25.0 28.2
S/N(c) 24.5 55.9 8.3
SN(E/C) 0.95
14290049 47
RedGreenBlue
z19.16
znorm14.98
sky 14.4 14.1 14.3
S/N 15.0 24.2 27.4
S/N(c) 24.5 55.6 8.3
SN(E/C) 0.98
14290050 47
RedGreenBlue
z19.20
znorm15.02
sky 14.3 14.2 14.3
S/N 15.8 25.4 28.5
S/N(c) 24.9 56.6 8.5
SN(E/C) 0.90
14290051 47
RedGreenBlue
z19.19
znorm15.01
sky 14.4 14.3 14.3
S/N 15.1 24.7 27.4
S/N(c) 24.5 56.2 8.3
SN(E/C) 0.93