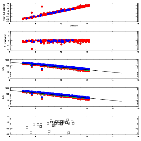
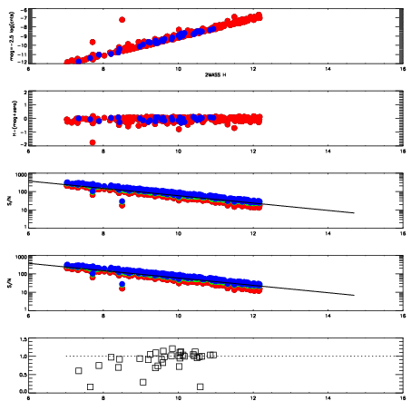
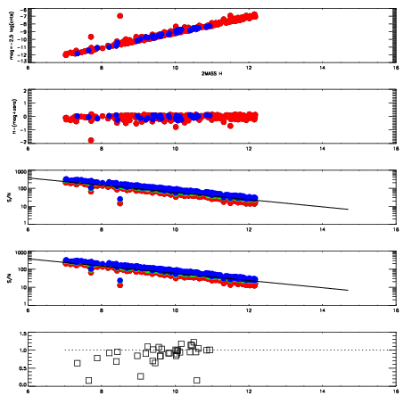
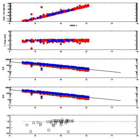
Left plots: red are targets, blue are telluric. Observed mags are calculated from median value of green chip. Zeropoint gives overall throughput: bigger number is more throughput.
First spatial plots: circles are objects, squares are tellurics, crosses are sky fibers. Colors give deviation of observed mag from expected 2MASS mag using the median zeropoint; red is brighter
Second spatial plots: circles are sky fibers. Colors give sky line brightness relative to plate median sky line brightness
FrameNreadsZeropointsMag plots Spatial mag deviation Spatial sky 16325A emission deviations (filled: sky, open: star) Spatial sky continuum emission Spatial sky telluric CO2 absorption deviations (filled: H < 10)
14290055 47
RedGreenBlue
z19.14
znorm14.96
sky 14.6 14.4 14.5
S/N 15.8 25.8 28.2
S/N(c) 35.8 24.7 17.4
SN(E/C) 0.94
14290056 47
RedGreenBlue
z19.10
znorm14.92
sky 14.5 14.3 14.5
S/N 15.3 25.3 27.7
S/N(c) 34.8 24.1 16.9
SN(E/C) 0.98
14290057 47
RedGreenBlue
z19.09
znorm14.91
sky 14.7 14.5 14.6
S/N 15.4 25.0 27.0
S/N(c) 34.7 24.1 16.8
SN(E/C) 0.91
14290058 47
RedGreenBlue
z19.06
znorm14.88
sky 14.6 14.4 14.5
S/N 15.2 24.8 27.2
S/N(c) 34.8 23.9 16.7
SN(E/C) 0.95