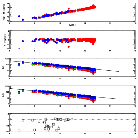
Frame | Nreads | Zeropoints | Mag plots
| Spatial mag deviation
| Spatial sky 16325A emission deviations (filled: sky, open: star)
| Spatial sky continuum emission
| Spatial sky telluric CO2 absorption deviations (filled: H < 10)
|
15820048
| 47
| | Red | Green | Blue
| z | | 18.38
| znorm | | 14.20
| sky | 14.8 | 14.5 | 14.7
| S/N | 9.8 | 17.2 | 18.8
| S/N(c) | 6.2 | 8.1 | 5.7
| SN(E/C) | 0.80
|
|
|
|
|
|
|
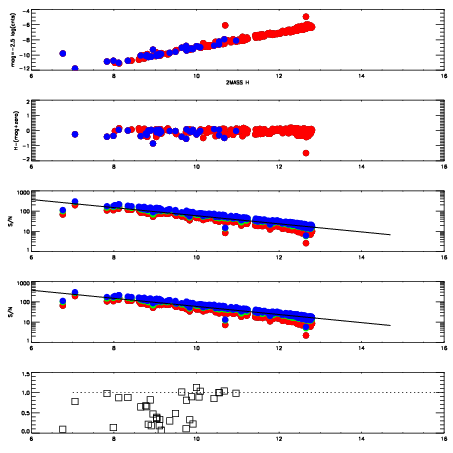
15820049
| 47
| | Red | Green | Blue
| z | | 18.66
| znorm | | 14.48
| sky | 14.6 | 14.5 | 14.8
| S/N | 12.9 | 21.4 | 22.9
| S/N(c) | 7.3 | 9.1 | 6.3
| SN(E/C) | 0.74
|
|
|
|
|
|
|
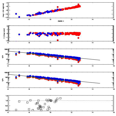
15820050
| 47
| | Red | Green | Blue
| z | | 18.81
| znorm | | 14.63
| sky | 14.6 | 14.5 | 14.7
| S/N | 13.3 | 22.5 | 24.0
| S/N(c) | 8.1 | 10.0 | 7.0
| SN(E/C) | 0.72
|
|
|
|
|
|
|
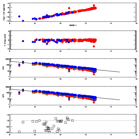
15820051
| 47
| | Red | Green | Blue
| z | | 18.81
| znorm | | 14.63
| sky | 14.8 | 14.6 | 14.7
| S/N | 13.3 | 22.1 | 24.3
| S/N(c) | 8.0 | 9.8 | 7.0
| SN(E/C) | 0.68
|
|
|
|
|
|
|
15820052
| 47
| | Red | Green | Blue
| z | | 18.87
| znorm | | 14.69
| sky | 14.8 | 14.6 | 14.7
| S/N | 14.0 | 22.7 | 24.7
| S/N(c) | 8.3 | 10.2 | 7.2
| SN(E/C) | 0.79
|
|
|
|
|
|
|
15820053
| 47
| | Red | Green | Blue
| z | | 18.92
| znorm | | 14.74
| sky | 14.6 | 14.6 | 14.6
| S/N | 14.2 | 23.4 | 25.5
| S/N(c) | 8.6 | 10.5 | 7.4
| SN(E/C) | 0.75
|
|
|
|
|
|
|
15820054
| 47
| | Red | Green | Blue
| z | | 19.05
| znorm | | 14.87
| sky | 14.5 | 14.4 | 14.7
| S/N | 15.5 | 24.7 | 27.5
| S/N(c) | 9.2 | 11.2 | 7.8
| SN(E/C) | 0.71
|
|
|
|
|
|
|
15820055
| 47
| | Red | Green | Blue
| z | | 19.09
| znorm | | 14.91
| sky | 14.6 | 14.5 | 14.6
| S/N | 15.8 | 25.4 | 27.6
| S/N(c) | 9.4 | 11.4 | 8.0
| SN(E/C) | 0.65
|
|
|
|
|
|
|