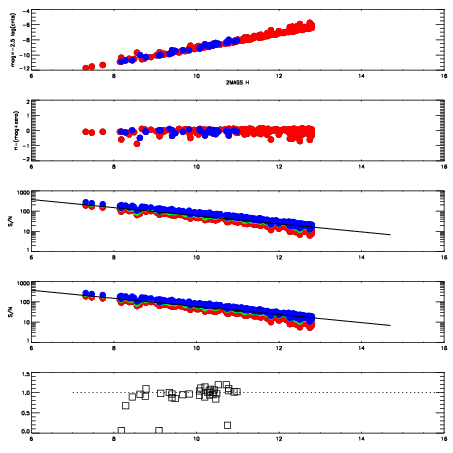
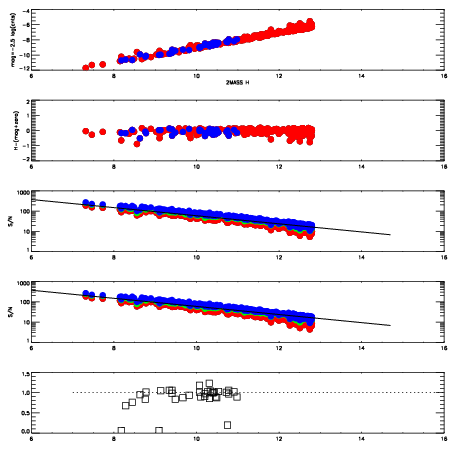
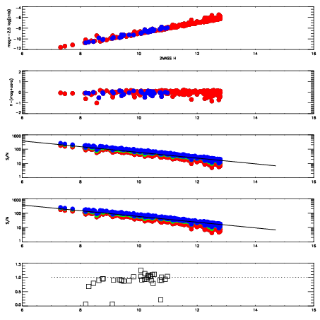
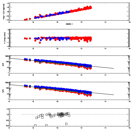
Left plots: red are targets, blue are telluric. Observed mags are calculated from median value of green chip. Zeropoint gives overall throughput: bigger number is more throughput.
First spatial plots: circles are objects, squares are tellurics, crosses are sky fibers. Colors give deviation of observed mag from expected 2MASS mag using the median zeropoint; red is brighter
Second spatial plots: circles are sky fibers. Colors give sky line brightness relative to plate median sky line brightness
FrameNreadsZeropointsMag plots Spatial mag deviation Spatial sky 16325A emission deviations (filled: sky, open: star) Spatial sky continuum emission Spatial sky telluric CO2 absorption deviations (filled: H < 10)
15820070 47
RedGreenBlue
z18.96
znorm14.78
sky 14.4 14.1 14.3
S/N 15.6 24.9 27.0
S/N(c) 5.5 12.5 29.6
SN(E/C) 0.93
15820071 47
RedGreenBlue
z19.06
znorm14.88
sky 14.6 14.3 14.4
S/N 15.4 25.7 27.7
S/N(c) 5.8 12.7 30.9
SN(E/C) 0.97
15820072 47
RedGreenBlue
z19.10
znorm14.92
sky 14.5 14.3 14.4
S/N 16.6 27.0 28.9
S/N(c) 5.9 13.4 31.7
SN(E/C) 0.95
15820073 47
RedGreenBlue
z19.12
znorm14.94
sky 14.4 14.3 14.4
S/N 16.7 27.3 29.3
S/N(c) 6.1 13.5 32.7
SN(E/C) 0.97