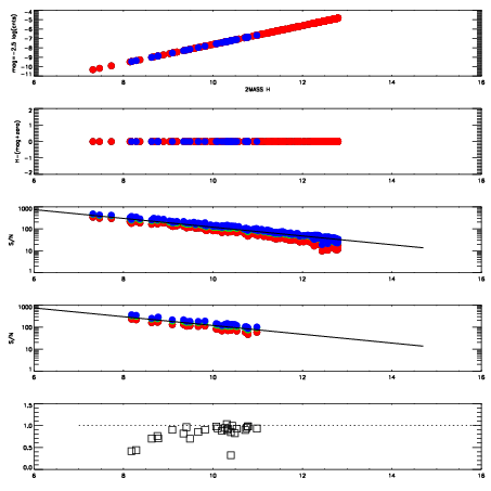
Left plots: red are targets, blue are telluric. Observed mags are calculated from median value of green chip. Zeropoint gives overall throughput: bigger number is more throughput.
First spatial plots: circles are objects, squares are tellurics, crosses are sky fibers. Colors give deviation of observed mag from expected 2MASS mag using the median zeropoint; red is brighter
Second spatial plots: circles are sky fibers. Colors give sky line brightness relative to plate median sky line brightness
FrameNreadsZeropointsMag plots Spatial mag deviation Spatial sky 16325A emission deviations (filled: sky, open: star) Spatial sky continuum emission Spatial sky telluric CO2 absorption deviations (filled: H < 10)
0 0
RedGreenBlue
z17.64
znorm Inf
sky -Inf -Inf -NaN
S/N 27.6 47.6 50.2
S/N(c) 0.0 0.0 0.0
SN(E/C) 0.90

IPAIRNAMESHIFTNEWSHIFTS/N NAMESHIFTNEWSHIFTS/N
0 16400039 0.493997 0.00000 18.9132 16400040 0.00242825 0.491569 18.9580
1 16400034 0.492289 0.00170800 18.9589 16400037 0.000859345 0.493138 18.9981
2 16400038 0.492829 0.00116801 18.9570 16400033 0.00000 0.493997 18.9979
3 16400035 0.493084 0.000912994 18.9050 16400036 0.000968153 0.493029 18.9374