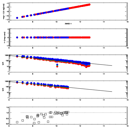
Left plots: red are targets, blue are telluric. Observed mags are calculated from median value of green chip. Zeropoint gives overall throughput: bigger number is more throughput.
First spatial plots: circles are objects, squares are tellurics, crosses are sky fibers. Colors give deviation of observed mag from expected 2MASS mag using the median zeropoint; red is brighter
Second spatial plots: circles are sky fibers. Colors give sky line brightness relative to plate median sky line brightness
FrameNreadsZeropointsMag plots Spatial mag deviation Spatial sky 16325A emission deviations (filled: sky, open: star) Spatial sky continuum emission Spatial sky telluric CO2 absorption deviations (filled: H < 10)
0 0
RedGreenBlue
z17.64
znorm Inf
sky -Inf -Inf -NaN
S/N 31.8 50.0 55.6
S/N(c) 0.0 0.0 0.0
SN(E/C) 0.81

IPAIRNAMESHIFTNEWSHIFTS/N NAMESHIFTNEWSHIFTS/N
0 13700013 0.502537 0.00000 18.8986 13700015 -0.00231417 0.504851 18.9588
1 13700016 0.501208 0.00132900 19.0269 13700018 -0.00137879 0.503916 19.0511
2 13700017 0.501535 0.00100201 18.9883 13700014 -0.00266736 0.505204 18.9596
3 13700012 0.502083 0.000454009 18.8183 13700011 0.00000 0.502537 18.9379