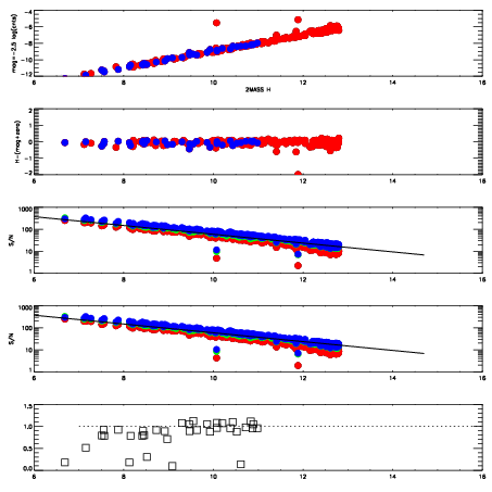
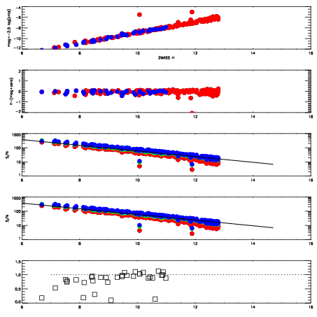
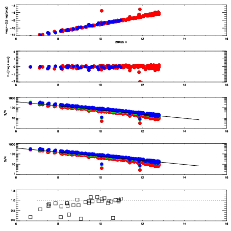
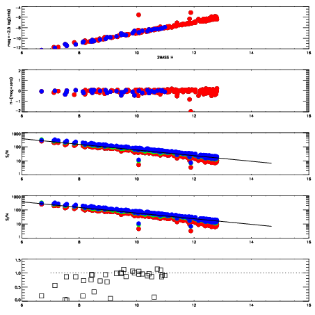
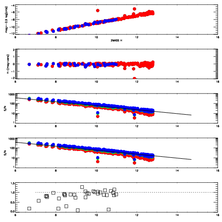
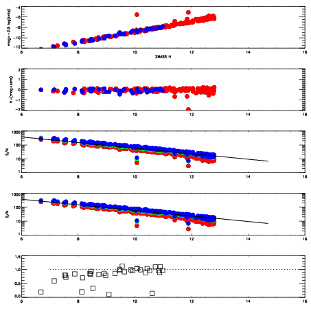
Left plots: red are targets, blue are telluric. Observed mags are calculated from median value of green chip. Zeropoint gives overall throughput: bigger number is more throughput.
First spatial plots: circles are objects, squares are tellurics, crosses are sky fibers. Colors give deviation of observed mag from expected 2MASS mag using the median zeropoint; red is brighter
Second spatial plots: circles are sky fibers. Colors give sky line brightness relative to plate median sky line brightness
FrameNreadsZeropointsMag plots Spatial mag deviation Spatial sky 16325A emission deviations (filled: sky, open: star) Spatial sky continuum emission Spatial sky telluric CO2 absorption deviations (filled: H < 10)
16110044 47
RedGreenBlue
z18.99
znorm14.81
sky 14.7 14.5 14.7
S/N 15.2 25.4 27.4
S/N(c) 18.1 10.0 29.3
SN(E/C) 0.90
16110045 47
RedGreenBlue
z19.02
znorm14.84
sky 14.8 14.7 14.8
S/N 15.4 25.4 27.9
S/N(c) 18.5 10.1 29.5
SN(E/C) 0.86
16110046 47
RedGreenBlue
z18.99
znorm14.81
sky 14.7 14.7 15.0
S/N 14.5 24.9 26.8
S/N(c) 18.2 10.1 29.1
SN(E/C) 0.89
16110047 47
RedGreenBlue
z19.02
znorm14.84
sky 14.9 14.7 14.8
S/N 14.9 25.2 27.1
S/N(c) 18.4 10.1 29.4
SN(E/C) 0.91
16110048 47
RedGreenBlue
z18.96
znorm14.78
sky 14.7 14.7 14.7
S/N 14.3 24.5 26.0
S/N(c) 17.8 9.8 28.3
SN(E/C) 0.90
16110049 47
RedGreenBlue
z18.92
znorm14.74
sky 14.7 14.4 14.7
S/N 14.3 24.3 26.0
S/N(c) 17.3 9.7 27.8
SN(E/C) 0.88