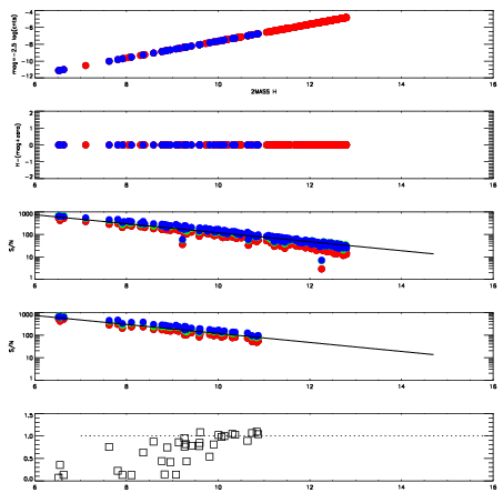
Left plots: red are targets, blue are telluric. Observed mags are calculated from median value of green chip. Zeropoint gives overall throughput: bigger number is more throughput.
First spatial plots: circles are objects, squares are tellurics, crosses are sky fibers. Colors give deviation of observed mag from expected 2MASS mag using the median zeropoint; red is brighter
Second spatial plots: circles are sky fibers. Colors give sky line brightness relative to plate median sky line brightness
FrameNreadsZeropointsMag plots Spatial mag deviation Spatial sky 16325A emission deviations (filled: sky, open: star) Spatial sky continuum emission Spatial sky telluric CO2 absorption deviations (filled: H < 10)
0 0
RedGreenBlue
z17.64
znorm Inf
sky -Inf -Inf -NaN
S/N 24.9 42.3 44.7
S/N(c) 0.0 0.0 0.0
SN(E/C) 0.78

IPAIRNAMESHIFTNEWSHIFTS/N NAMESHIFTNEWSHIFTS/N
0 15920028 0.496257 0.00000 18.9954 15920029 0.00420584 0.492051 19.0044
1 15920027 0.495443 0.000814021 18.9870 15920026 0.00172752 0.494529 18.9697
2 15920024 0.495793 0.000463992 18.9299 15920025 0.00227090 0.493986 18.9678
3 15920023 0.495470 0.000787020 18.8105 15920022 0.00000 0.496257 18.6263