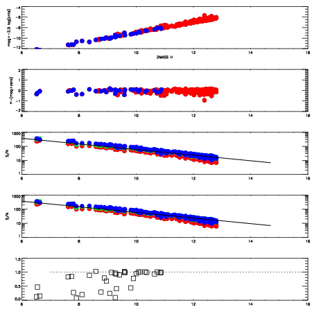
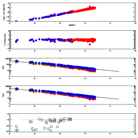
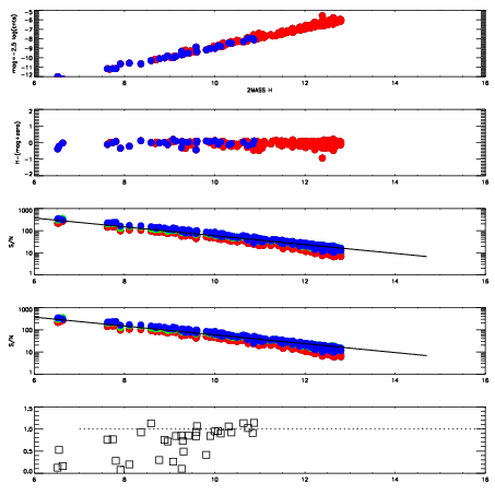
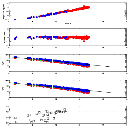
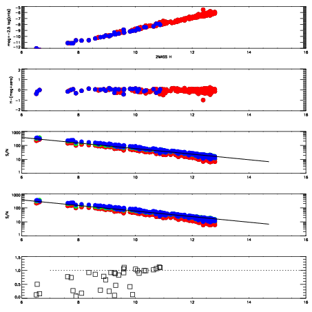
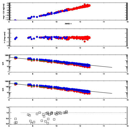
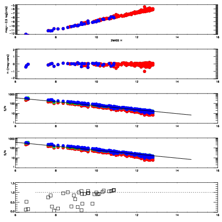
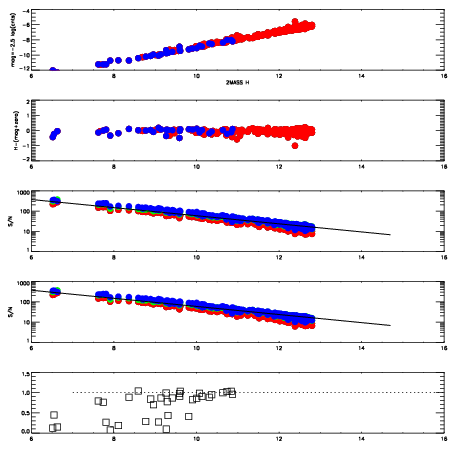
Frame | Nreads | Zeropoints | Mag plots
| Spatial mag deviation
| Spatial sky 16325A emission deviations (filled: sky, open: star)
| Spatial sky continuum emission
| Spatial sky telluric CO2 absorption deviations (filled: H < 10)
|
16110033
| 47
| | Red | Green | Blue
| z | | 18.89
| znorm | | 14.71
| sky | 14.4 | 14.3 | 14.4
| S/N | 14.3 | 22.1 | 23.1
| S/N(c) | 24.0 | 22.8 | 9.3
| SN(E/C) | 0.86
|
|
|
|
|
|
|
16110034
| 47
| | Red | Green | Blue
| z | | 18.90
| znorm | | 14.72
| sky | 14.4 | 14.4 | 14.5
| S/N | 14.4 | 22.6 | 22.9
| S/N(c) | 23.6 | 22.6 | 9.3
| SN(E/C) | 0.92
|
|
|
|
|
|
|
16110035
| 47
| | Red | Green | Blue
| z | | 18.99
| znorm | | 14.81
| sky | 14.4 | 14.4 | 14.5
| S/N | 15.6 | 23.2 | 24.6
| S/N(c) | 25.6 | 23.8 | 9.9
| SN(E/C) | 0.85
|
|
|
|
|
|
|
16110036
| 47
| | Red | Green | Blue
| z | | 18.98
| znorm | | 14.80
| sky | 14.4 | 14.4 | 14.5
| S/N | 15.5 | 23.2 | 23.9
| S/N(c) | 25.3 | 23.7 | 9.8
| SN(E/C) | 0.86
|
|
|
|
|
|
|
16110037
| 47
| | Red | Green | Blue
| z | | 18.98
| znorm | | 14.80
| sky | 14.6 | 14.4 | 14.4
| S/N | 15.6 | 23.0 | 24.0
| S/N(c) | 25.6 | 23.8 | 9.8
| SN(E/C) | 0.86
|
|
|
|
|
|
|
16110038
| 47
| | Red | Green | Blue
| z | | 18.89
| znorm | | 14.71
| sky | 14.5 | 14.5 | 14.4
| S/N | 14.7 | 21.8 | 22.8
| S/N(c) | 24.1 | 22.8 | 9.3
| SN(E/C) | 0.84
|
|
|
|
|
|
|
16110039
| 47
| | Red | Green | Blue
| z | | 18.96
| znorm | | 14.78
| sky | 14.5 | 14.4 | 14.5
| S/N | 15.5 | 22.9 | 23.7
| S/N(c) | 25.2 | 23.6 | 9.7
| SN(E/C) | 0.89
|
|
|
|
|
|
|
16110040
| 47
| | Red | Green | Blue
| z | | 18.98
| znorm | | 14.80
| sky | 14.5 | 14.4 | 14.5
| S/N | 15.6 | 23.2 | 23.9
| S/N(c) | 25.1 | 23.9 | 9.9
| SN(E/C) | 0.89
|
|
|
|
|
|
|