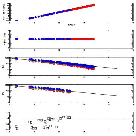
Left plots: red are targets, blue are telluric. Observed mags are calculated from median value of green chip. Zeropoint gives overall throughput: bigger number is more throughput.
First spatial plots: circles are objects, squares are tellurics, crosses are sky fibers. Colors give deviation of observed mag from expected 2MASS mag using the median zeropoint; red is brighter
Second spatial plots: circles are sky fibers. Colors give sky line brightness relative to plate median sky line brightness
FrameNreadsZeropointsMag plots Spatial mag deviation Spatial sky 16325A emission deviations (filled: sky, open: star) Spatial sky continuum emission Spatial sky telluric CO2 absorption deviations (filled: H < 10)
0 0
RedGreenBlue
z17.63
znorm Inf
sky -NaN -Inf -Inf
S/N 27.2 42.2 43.3
S/N(c) 0.0 0.0 0.0
SN(E/C) 0.81

IPAIRNAMESHIFTNEWSHIFTS/N NAMESHIFTNEWSHIFTS/N
0 16110035 0.495902 0.00000 18.9724 16110037 0.00198522 0.493917 18.9658
1 16110039 0.495407 0.000495017 18.9512 16110040 0.00407838 0.491824 18.9627
2 16110038 0.494559 0.00134301 18.8796 16110036 0.00207197 0.493830 18.9610
3 16110034 0.494815 0.00108701 18.8701 16110033 0.00000 0.495902 18.8576