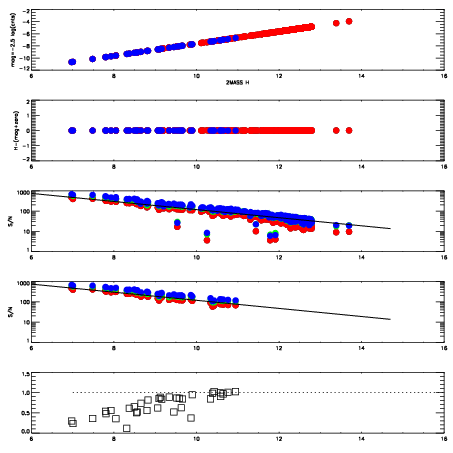
Left plots: red are targets, blue are telluric. Observed mags are calculated from median value of green chip. Zeropoint gives overall throughput: bigger number is more throughput.
First spatial plots: circles are objects, squares are tellurics, crosses are sky fibers. Colors give deviation of observed mag from expected 2MASS mag using the median zeropoint; red is brighter
Second spatial plots: circles are sky fibers. Colors give sky line brightness relative to plate median sky line brightness
FrameNreadsZeropointsMag plots Spatial mag deviation Spatial sky 16325A emission deviations (filled: sky, open: star) Spatial sky continuum emission Spatial sky telluric CO2 absorption deviations (filled: H < 10)
0 0
RedGreenBlue
z17.64
znorm Inf
sky -Inf -NaN -NaN
S/N 31.1 48.6 50.2
S/N(c) 0.0 0.0 0.0
SN(E/C) 0.74

IPAIRNAMESHIFTNEWSHIFTS/N NAMESHIFTNEWSHIFTS/N
0 13730027 0.504106 0.00000 19.1791 13730029 -0.000497231 0.504603 19.1938
1 13730031 0.501980 0.00212598 19.1861 13730028 7.92598e-05 0.504027 19.1973
2 13730030 0.501115 0.00299096 19.1787 13730032 0.00128140 0.502825 19.1895
3 13730026 0.504096 1.00136e-05 19.1653 13730025 0.00000 0.504106 19.1772