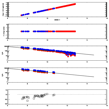
Left plots: red are targets, blue are telluric. Observed mags are calculated from median value of green chip. Zeropoint gives overall throughput: bigger number is more throughput.
First spatial plots: circles are objects, squares are tellurics, crosses are sky fibers. Colors give deviation of observed mag from expected 2MASS mag using the median zeropoint; red is brighter
Second spatial plots: circles are sky fibers. Colors give sky line brightness relative to plate median sky line brightness
FrameNreadsZeropointsMag plots Spatial mag deviation Spatial sky 16325A emission deviations (filled: sky, open: star) Spatial sky continuum emission Spatial sky telluric CO2 absorption deviations (filled: H < 10)
0 0
RedGreenBlue
z17.64
znorm Inf
sky -Inf -NaN -Inf
S/N 28.0 46.1 46.7
S/N(c) 0.0 0.0 0.0
SN(E/C) 0.81

IPAIRNAMESHIFTNEWSHIFTS/N NAMESHIFTNEWSHIFTS/N
0 16430050 0.488629 0.00000 19.0603 16430051 0.000934345 0.487695 19.0561
1 16430049 0.487613 0.00101602 19.0469 16430047 0.000379634 0.488249 19.0176
2 16430045 0.486309 0.00232002 18.9924 16430044 0.00000 0.488629 19.0163
3 16430046 0.487462 0.00116700 18.9601 16430048 -0.000541022 0.489170 19.0025