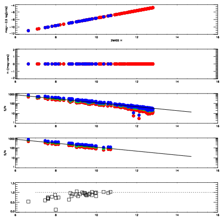
Left plots: red are targets, blue are telluric. Observed mags are calculated from median value of green chip. Zeropoint gives overall throughput: bigger number is more throughput.
First spatial plots: circles are objects, squares are tellurics, crosses are sky fibers. Colors give deviation of observed mag from expected 2MASS mag using the median zeropoint; red is brighter
Second spatial plots: circles are sky fibers. Colors give sky line brightness relative to plate median sky line brightness
FrameNreadsZeropointsMag plots Spatial mag deviation Spatial sky 16325A emission deviations (filled: sky, open: star) Spatial sky continuum emission Spatial sky telluric CO2 absorption deviations (filled: H < 10)
0 0
RedGreenBlue
z17.63
znorm Inf
sky -NaN -NaN -NaN
S/N 24.6 41.4 44.9
S/N(c) 0.0 0.0 0.0
SN(E/C) 0.88

IPAIRNAMESHIFTNEWSHIFTS/N NAMESHIFTNEWSHIFTS/N
0 17020027 0.487565 0.00000 18.8420 17020028 0.00173719 0.485828 18.8778
1 17020022 0.486246 0.00131902 18.8341 17020021 0.00000 0.487565 18.8711
2 17020026 0.487078 0.000487000 18.7434 17020025 0.00112903 0.486436 18.8469
3 17020023 0.486622 0.000943005 18.7339 17020024 0.00149844 0.486067 18.7674