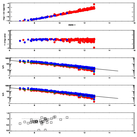
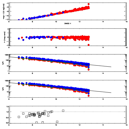
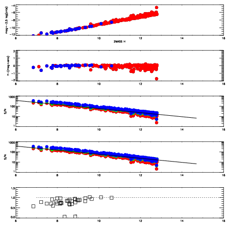
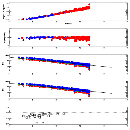
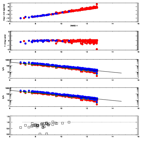
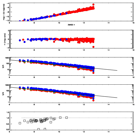
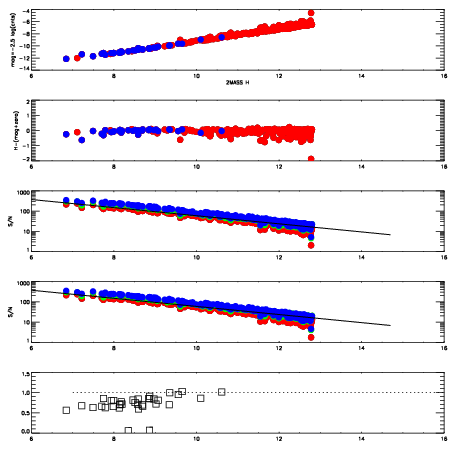
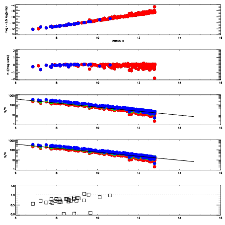
Frame | Nreads | Zeropoints | Mag plots
| Spatial mag deviation
| Spatial sky 16325A emission deviations (filled: sky, open: star)
| Spatial sky continuum emission
| Spatial sky telluric CO2 absorption deviations (filled: H < 10)
|
17350022
| 47
| | Red | Green | Blue
| z | | 19.21
| znorm | | 15.03
| sky | 14.3 | 14.2 | 14.6
| S/N | 18.1 | 26.2 | 27.3
| S/N(c) | 27.7 | 22.4 | 18.3
| SN(E/C) | 0.77
|
|
|
|
|
|
|
17350023
| 47
| | Red | Green | Blue
| z | | 19.18
| znorm | | 15.00
| sky | 14.5 | 14.3 | 14.6
| S/N | 17.7 | 26.0 | 26.7
| S/N(c) | 27.2 | 22.5 | 17.8
| SN(E/C) | 0.80
|
|
|
|
|
|
|
17350024
| 47
| | Red | Green | Blue
| z | | 19.17
| znorm | | 14.99
| sky | 14.4 | 14.4 | 14.7
| S/N | 17.6 | 25.9 | 27.3
| S/N(c) | 26.9 | 22.1 | 17.4
| SN(E/C) | 0.78
|
|
|
|
|
|
|
17350025
| 47
| | Red | Green | Blue
| z | | 19.21
| znorm | | 15.03
| sky | 14.4 | 14.4 | 14.6
| S/N | 18.1 | 26.8 | 27.8
| S/N(c) | 27.4 | 22.6 | 18.0
| SN(E/C) | 0.78
|
|
|
|
|
|
|
17350026
| 47
| | Red | Green | Blue
| z | | 19.22
| znorm | | 15.04
| sky | 14.3 | 14.5 | 14.5
| S/N | 18.4 | 27.1 | 28.2
| S/N(c) | 27.9 | 22.7 | 17.9
| SN(E/C) | 0.72
|
|
|
|
|
|
|
17350027
| 47
| | Red | Green | Blue
| z | | 19.20
| znorm | | 15.02
| sky | 14.3 | 14.4 | 14.6
| S/N | 18.4 | 26.7 | 28.0
| S/N(c) | 27.4 | 22.5 | 17.8
| SN(E/C) | 0.78
|
|
|
|
|
|
|
17350028
| 47
| | Red | Green | Blue
| z | | 19.23
| znorm | | 15.05
| sky | 14.4 | 14.6 | 14.7
| S/N | 18.4 | 27.3 | 28.1
| S/N(c) | 27.7 | 22.7 | 17.9
| SN(E/C) | 0.73
|
|
|
|
|
|
|
17350029
| 47
| | Red | Green | Blue
| z | | 19.23
| znorm | | 15.05
| sky | 14.4 | 14.5 | 14.7
| S/N | 18.6 | 27.3 | 28.7
| S/N(c) | 27.8 | 22.6 | 18.0
| SN(E/C) | 0.77
|
|
|
|
|
|
|
17350030
| 47
| | Red | Green | Blue
| z | | 19.21
| znorm | | 15.03
| sky | 14.6 | 14.6 | 14.8
| S/N | 18.7 | 27.1 | 28.6
| S/N(c) | 27.7 | 22.3 | 17.9
| SN(E/C) | 0.75
|
|
|
|
|
|
|
17350031
| 47
| | Red | Green | Blue
| z | | 19.20
| znorm | | 15.02
| sky | 14.5 | 14.6 | 14.6
| S/N | 18.6 | 27.1 | 28.4
| S/N(c) | 28.0 | 22.2 | 17.9
| SN(E/C) | 0.82
|
|
|
|
|
|
|