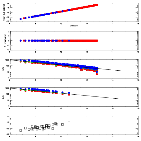
Left plots: red are targets, blue are telluric. Observed mags are calculated from median value of green chip. Zeropoint gives overall throughput: bigger number is more throughput.
First spatial plots: circles are objects, squares are tellurics, crosses are sky fibers. Colors give deviation of observed mag from expected 2MASS mag using the median zeropoint; red is brighter
Second spatial plots: circles are sky fibers. Colors give sky line brightness relative to plate median sky line brightness
FrameNreadsZeropointsMag plots Spatial mag deviation Spatial sky 16325A emission deviations (filled: sky, open: star) Spatial sky continuum emission Spatial sky telluric CO2 absorption deviations (filled: H < 10)
0 0
RedGreenBlue
z17.64
znorm Inf
sky -Inf -Inf -NaN
S/N 37.1 56.6 58.8
S/N(c) 0.0 0.0 0.0
SN(E/C) 0.59

IPAIRNAMESHIFTNEWSHIFTS/N NAMESHIFTNEWSHIFTS/N
0 17350028 0.506028 0.00000 19.2141 17350029 0.00428977 0.501738 19.2183
1 17350031 0.501970 0.00405800 19.1982 17350026 0.00314858 0.502879 19.2138
2 17350027 0.504691 0.00133699 19.1947 17350030 0.00455035 0.501478 19.2023
3 17350023 0.503361 0.00266701 19.1659 17350025 0.00279926 0.503229 19.2017
4 17350024 0.503804 0.00222397 19.1569 17350022 0.00000 0.506028 19.1930