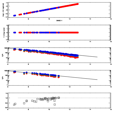
Left plots: red are targets, blue are telluric. Observed mags are calculated from median value of green chip. Zeropoint gives overall throughput: bigger number is more throughput.
First spatial plots: circles are objects, squares are tellurics, crosses are sky fibers. Colors give deviation of observed mag from expected 2MASS mag using the median zeropoint; red is brighter
Second spatial plots: circles are sky fibers. Colors give sky line brightness relative to plate median sky line brightness
FrameNreadsZeropointsMag plots Spatial mag deviation Spatial sky 16325A emission deviations (filled: sky, open: star) Spatial sky continuum emission Spatial sky telluric CO2 absorption deviations (filled: H < 10)
0 0
RedGreenBlue
z17.64
znorm Inf
sky -Inf -NaN -Inf
S/N 20.6 33.6 39.6
S/N(c) 0.0 0.0 0.0
SN(E/C) 0.88

IPAIRNAMESHIFTNEWSHIFTS/N NAMESHIFTNEWSHIFTS/N
0 13490014 0.499923 0.00000 19.0549 13490013 0.00000 0.499923 19.0768
1 13490015 0.499615 0.000307977 19.0484 13490016 -0.000887725 0.500811 18.9853
2 13490019 0.498334 0.00158900 17.8251 13490017 -0.000521759 0.500445 18.6964
3 13490018 0.499046 0.000876993 17.1830 13490020 -0.00295946 0.502882 18.0701