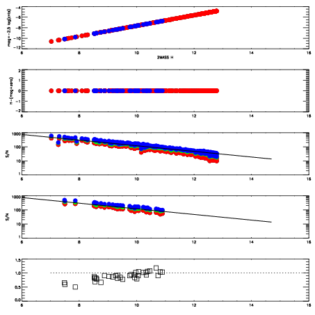
Left plots: red are targets, blue are telluric. Observed mags are calculated from median value of green chip. Zeropoint gives overall throughput: bigger number is more throughput.
First spatial plots: circles are objects, squares are tellurics, crosses are sky fibers. Colors give deviation of observed mag from expected 2MASS mag using the median zeropoint; red is brighter
Second spatial plots: circles are sky fibers. Colors give sky line brightness relative to plate median sky line brightness
FrameNreadsZeropointsMag plots Spatial mag deviation Spatial sky 16325A emission deviations (filled: sky, open: star) Spatial sky continuum emission Spatial sky telluric CO2 absorption deviations (filled: H < 10)
0 0
RedGreenBlue
z17.64
znorm Inf
sky -Inf -Inf -Inf
S/N 24.6 43.4 46.5
S/N(c) 0.0 0.0 0.0
SN(E/C) 0.90

IPAIRNAMESHIFTNEWSHIFTS/N NAMESHIFTNEWSHIFTS/N
0 17020056 0.485540 0.00000 18.9803 17020057 0.000138426 0.485402 18.9730
1 17020055 0.485300 0.000239998 18.8612 17020058 -0.000247017 0.485787 18.8544
2 17020060 0.482823 0.00271699 18.8458 17020061 -0.000686950 0.486227 18.8535
3 17020059 0.483373 0.00216702 18.8437 17020054 0.00000 0.485540 18.8429