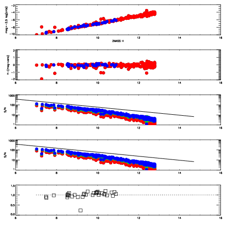
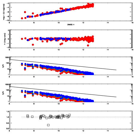
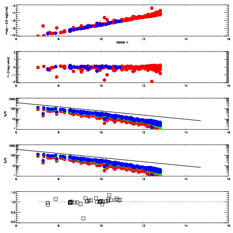
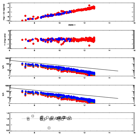
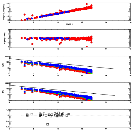
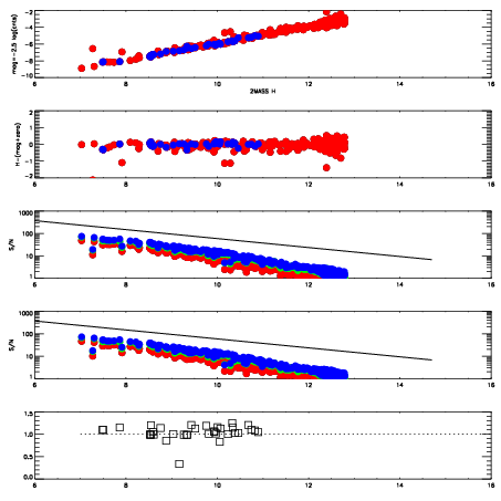
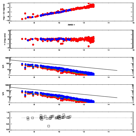
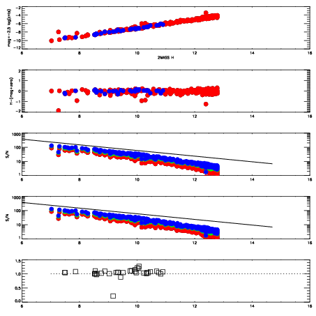
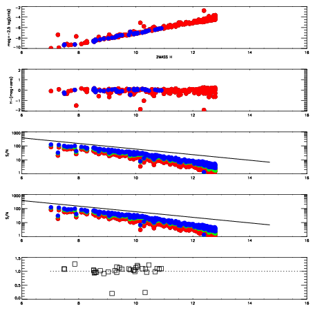
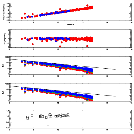
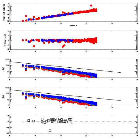
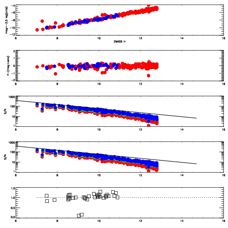
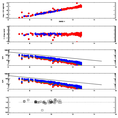
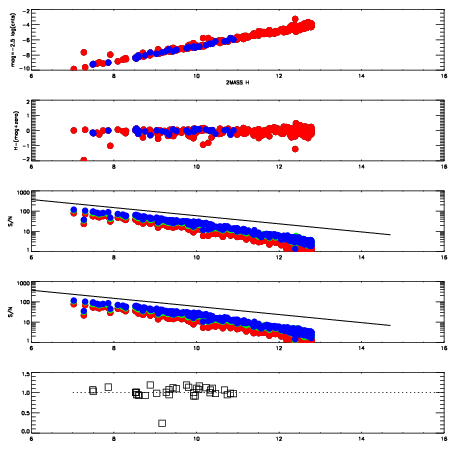
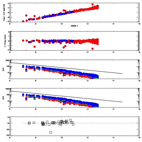
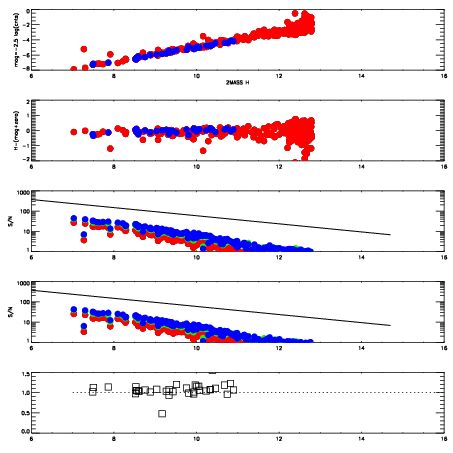
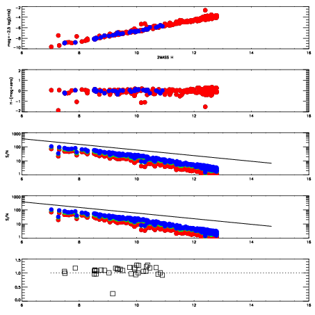
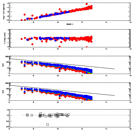
Frame | Nreads | Zeropoints | Mag plots
| Spatial mag deviation
| Spatial sky 16325A emission deviations (filled: sky, open: star)
| Spatial sky continuum emission
| Spatial sky telluric CO2 absorption deviations (filled: H < 10)
|
17050048
| 47
| | Red | Green | Blue
| z | | 17.75
| znorm | | 13.57
| sky | 13.6 | 13.6 | 13.7
| S/N | 5.0 | 9.6 | 10.1
| S/N(c) | 6.2 | 8.4 | 23.2
| SN(E/C) | 1.04
|
|
|
|
|
|
|
17050049
| 47
| | Red | Green | Blue
| z | | 17.03
| znorm | | 12.85
| sky | 13.5 | 13.4 | 13.4
| S/N | 2.8 | 5.5 | 5.8
| S/N(c) | 3.6 | 5.4 | 14.4
| SN(E/C) | 1.02
|
|
|
|
|
|
|
17050050
| 47
| | Red | Green | Blue
| z | | 16.87
| znorm | | 12.69
| sky | 13.5 | 13.4 | 13.3
| S/N | 2.2 | 4.5 | 4.9
| S/N(c) | 3.1 | 4.9 | 13.0
| SN(E/C) | 1.01
|
|
|
|
|
|
|
17050051
| 47
| | Red | Green | Blue
| z | | 16.84
| znorm | | 12.66
| sky | 13.4 | 13.3 | 13.3
| S/N | 2.3 | 4.9 | 4.9
| S/N(c) | 3.2 | 4.7 | 13.2
| SN(E/C) | 1.05
|
|
|
|
|
|
|
17050052
| 47
| | Red | Green | Blue
| z | | 17.18
| znorm | | 13.00
| sky | 13.5 | 13.5 | 13.5
| S/N | 3.3 | 6.3 | 6.4
| S/N(c) | 4.0 | 5.9 | 16.0
| SN(E/C) | 0.98
|
|
|
|
|
|
|
17050053
| 47
| | Red | Green | Blue
| z | | 17.09
| znorm | | 12.91
| sky | 13.6 | 13.6 | 13.6
| S/N | 3.2 | 5.7 | 6.3
| S/N(c) | 3.9 | 5.8 | 15.4
| SN(E/C) | 1.04
|
|
|
|
|
|
|
17050054
| 47
| | Red | Green | Blue
| z | | 16.84
| znorm | | 12.66
| sky | 13.5 | 13.5 | 13.6
| S/N | 2.4 | 4.6 | 5.0
| S/N(c) | 3.2 | 5.0 | 13.2
| SN(E/C) | 1.01
|
|
|
|
|
|
|
17050055
| 47
| | Red | Green | Blue
| z | | 16.61
| znorm | | 12.43
| sky | 13.4 | 13.5 | 13.6
| S/N | 2.1 | 3.8 | 4.3
| S/N(c) | 2.7 | 4.2 | 11.4
| SN(E/C) | 1.09
|
|
|
|
|
|
|
17050056
| 47
| | Red | Green | Blue
| z | | 16.09
| znorm | | 11.91
| sky | 13.3 | 13.4 | 13.5
| S/N | 1.2 | 2.6 | 2.9
| S/N(c) | 1.8 | 3.0 | 7.8
| SN(E/C) | 1.02
|
|
|
|
|
|
|
17050057
| 47
| | Red | Green | Blue
| z | | 15.94
| znorm | | 11.76
| sky | 13.3 | 13.3 | 13.5
| S/N | 0.9 | 2.2 | 2.5
| S/N(c) | 1.5 | 2.6 | 7.0
| SN(E/C) | 1.05
|
|
|
|
|
|
|
17050058
| 47
| | Red | Green | Blue
| z | | 16.65
| znorm | | 12.47
| sky | 13.4 | 13.4 | 13.5
| S/N | 2.1 | 4.2 | 4.5
| S/N(c) | 2.7 | 4.2 | 11.3
| SN(E/C) | 1.02
|
|
|
|
|
|
|
17050059
| 47
| | Red | Green | Blue
| z | | 16.86
| znorm | | 12.68
| sky | 13.4 | 13.5 | 13.6
| S/N | 2.4 | 5.0 | 5.5
| S/N(c) | 3.1 | 4.8 | 13.2
| SN(E/C) | 1.04
|
|
|
|
|
|
|
17050060
| 47
| | Red | Green | Blue
| z | | 16.59
| znorm | | 12.41
| sky | 13.3 | 13.4 | 13.5
| S/N | 2.0 | 3.9 | 3.9
| S/N(c) | 2.5 | 4.0 | 11.2
| SN(E/C) | 1.03
|
|
|
|
|
|
|
17050061
| 47
| | Red | Green | Blue
| z | | 15.87
| znorm | | 11.69
| sky | 13.3 | 13.3 | 13.4
| S/N | 1.2 | 2.2 | 2.4
| S/N(c) | 1.5 | 2.4 | 6.7
| SN(E/C) | 1.02
|
|
|
|
|
|
|
17050062
| 47
| | Red | Green | Blue
| z | | 15.01
| znorm | | 10.83
| sky | 13.2 | 13.2 | 13.2
| S/N | 0.5 | 0.9 | 1.0
| S/N(c) | 0.6 | 1.1 | 3.1
| SN(E/C) | 1.06
|
|
|
|
|
|
|
17050063
| 47
| | Red | Green | Blue
| z | | 16.74
| znorm | | 12.56
| sky | 13.4 | 13.4 | 13.5
| S/N | 2.2 | 4.6 | 5.1
| S/N(c) | 2.9 | 4.5 | 12.6
| SN(E/C) | 1.03
|
|
|
|
|
|
|
17050064
| 47
| | Red | Green | Blue
| z | | 17.07
| znorm | | 12.89
| sky | 13.4 | 13.4 | 13.5
| S/N | 2.9 | 5.9 | 6.5
| S/N(c) | 3.5 | 5.4 | 15.3
| SN(E/C) | 1.02
|
|
|
|
|
|
|
17050065
| 47
| | Red | Green | Blue
| z | | 17.07
| znorm | | 12.89
| sky | 13.5 | 13.5 | 13.6
| S/N | 3.0 | 6.1 | 6.6
| S/N(c) | 3.8 | 5.5 | 15.5
| SN(E/C) | 1.04
|
|
|
|
|
|
|
17050066
| 47
| | Red | Green | Blue
| z | | 17.50
| znorm | | 13.32
| sky | 13.5 | 13.7 | 13.8
| S/N | 4.3 | 8.2 | 9.4
| S/N(c) | 5.1 | 7.1 | 20.1
| SN(E/C) | 1.01
|
|
|
|
|
|
|
17050067
| 47
| | Red | Green | Blue
| z | | 16.98
| znorm | | 12.80
| sky | 13.4 | 13.5 | 13.7
| S/N | 2.6 | 5.7 | 5.9
| S/N(c) | 3.4 | 5.2 | 14.9
| SN(E/C) | 1.00
|
|
|
|
|
|
|