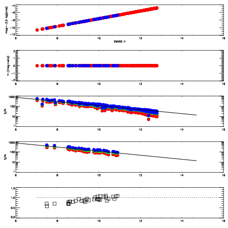
Left plots: red are targets, blue are telluric. Observed mags are calculated from median value of green chip. Zeropoint gives overall throughput: bigger number is more throughput.
First spatial plots: circles are objects, squares are tellurics, crosses are sky fibers. Colors give deviation of observed mag from expected 2MASS mag using the median zeropoint; red is brighter
Second spatial plots: circles are sky fibers. Colors give sky line brightness relative to plate median sky line brightness
FrameNreadsZeropointsMag plots Spatial mag deviation Spatial sky 16325A emission deviations (filled: sky, open: star) Spatial sky continuum emission Spatial sky telluric CO2 absorption deviations (filled: H < 10)
0 0
RedGreenBlue
z17.64
znorm Inf
sky -NaN -NaN -NaN
S/N 20.5 37.8 40.5
S/N(c) 0.0 0.0 0.0
SN(E/C) 0.88

IPAIRNAMESHIFTNEWSHIFTS/N NAMESHIFTNEWSHIFTS/N
0 17070038 0.489414 0.00000 18.6668 17070036 0.00000 0.489414 18.5375
1 17070041 0.487985 0.00142902 19.0587 17070040 0.00150618 0.487908 19.0282
2 17070042 0.488132 0.00128201 18.7321 17070039 0.00122838 0.488186 18.7102
3 17070037 0.489049 0.000365019 18.6178 17070043 0.00265851 0.486755 18.4249