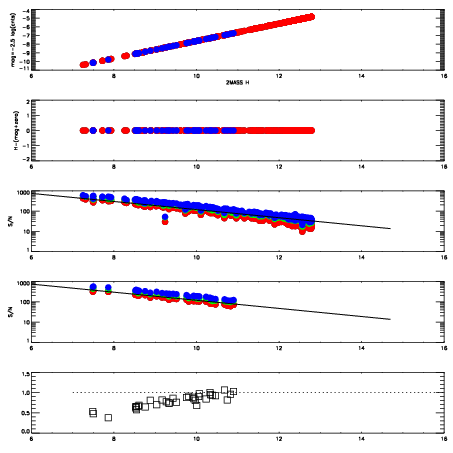
Left plots: red are targets, blue are telluric. Observed mags are calculated from median value of green chip. Zeropoint gives overall throughput: bigger number is more throughput.
First spatial plots: circles are objects, squares are tellurics, crosses are sky fibers. Colors give deviation of observed mag from expected 2MASS mag using the median zeropoint; red is brighter
Second spatial plots: circles are sky fibers. Colors give sky line brightness relative to plate median sky line brightness
FrameNreadsZeropointsMag plots Spatial mag deviation Spatial sky 16325A emission deviations (filled: sky, open: star) Spatial sky continuum emission Spatial sky telluric CO2 absorption deviations (filled: H < 10)
0 0
RedGreenBlue
z17.64
znorm Inf
sky -NaN -NaN -NaN
S/N 32.6 51.9 60.0
S/N(c) 0.0 0.0 0.0
SN(E/C) 0.81

IPAIRNAMESHIFTNEWSHIFTS/N NAMESHIFTNEWSHIFTS/N
0 17000013 0.488111 0.00000 19.2285 17000014 0.000992111 0.487119 19.2373
1 17000012 0.487687 0.000423998 19.2345 17000015 0.000886919 0.487224 19.2373
2 17000016 0.487259 0.000851989 19.2167 17000018 -0.00215169 0.490263 19.2105
3 17000017 0.487099 0.00101200 19.2102 17000011 0.00000 0.488111 19.1976