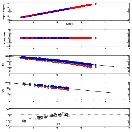
Left plots: red are targets, blue are telluric. Observed mags are calculated from median value of green chip. Zeropoint gives overall throughput: bigger number is more throughput.
First spatial plots: circles are objects, squares are tellurics, crosses are sky fibers. Colors give deviation of observed mag from expected 2MASS mag using the median zeropoint; red is brighter
Second spatial plots: circles are sky fibers. Colors give sky line brightness relative to plate median sky line brightness
FrameNreadsZeropointsMag plots Spatial mag deviation Spatial sky 16325A emission deviations (filled: sky, open: star) Spatial sky continuum emission Spatial sky telluric CO2 absorption deviations (filled: H < 10)
0 0
RedGreenBlue
z17.64
znorm Inf
sky -Inf -Inf -Inf
S/N 27.0 44.2 49.7
S/N(c) 0.0 0.0 0.0
SN(E/C) 0.87

IPAIRNAMESHIFTNEWSHIFTS/N NAMESHIFTNEWSHIFTS/N
0 13490030 0.496989 0.00000 18.3539 13490031 -0.000214346 0.497203 18.4779
1 13490026 0.496859 0.000129998 19.2279 13490027 -0.000832599 0.497822 19.2236
2 13490025 0.496837 0.000152022 19.1933 13490024 0.00000 0.496989 19.0943
3 13490029 0.495490 0.00149900 19.1775 13490028 -0.00102939 0.498018 18.7596