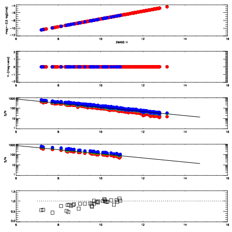
Left plots: red are targets, blue are telluric. Observed mags are calculated from median value of green chip. Zeropoint gives overall throughput: bigger number is more throughput.
First spatial plots: circles are objects, squares are tellurics, crosses are sky fibers. Colors give deviation of observed mag from expected 2MASS mag using the median zeropoint; red is brighter
Second spatial plots: circles are sky fibers. Colors give sky line brightness relative to plate median sky line brightness
FrameNreadsZeropointsMag plots Spatial mag deviation Spatial sky 16325A emission deviations (filled: sky, open: star) Spatial sky continuum emission Spatial sky telluric CO2 absorption deviations (filled: H < 10)
0 0
RedGreenBlue
z17.64
znorm Inf
sky -Inf -Inf -NaN
S/N 28.0 47.1 50.5
S/N(c) 0.0 0.0 0.0
SN(E/C) 0.87

IPAIRNAMESHIFTNEWSHIFTS/N NAMESHIFTNEWSHIFTS/N
0 13730064 0.500140 0.00000 19.1555 13730065 -0.00289223 0.503032 19.1324
1 13730063 0.499240 0.000900000 19.1387 13730062 -0.00231671 0.502457 19.1140
2 13730060 0.499970 0.000170022 19.0866 13730058 0.00000 0.500140 19.0669
3 13730059 0.499614 0.000526011 19.0591 13730061 -0.00200292 0.502143 19.0298